(Aunque no esté indicado, se incluyen las modificaciones de las Circulares 6/1991, de 13 de noviembre; 13/1993, de 21 de diciembre; 5/1994, de 22 de julio; 3/1996, de 27 de febrero; 4/1998, de 27 de enero y 3/1999, de 24 de marzo.)
BOE núm. 226 de 20 de septiembre de 1990
Banco de España.
Circular 8/1990, de 7 de septiembre, a entidades de crédito, sobre transparencia de las operaciones y protección de la clientela
Indice
Preámbulo
Capítulo I. Tipos de interés, comisiones, publicidad y normas de actuación con la clientela
Norma Primera. Publicación de tipos de interés
Norma Primera Bis. Publicación de los tipos de cambio de determinadas operaciones
Norma Segunda. Información sobre tipos de interés aplicados
Norma Tercera. Tarifas de comisiones
Norma Cuarta. Condiciones de valoración
Norma Quinta. Tablón de anuncios
Norma Sexta. Entrega de documentos contractuales y de tarifas de comisiones y normas de valoración
Norma Sexta Bis. Préstamos hipotecarios
Norma Séptima. Documentos de liquidación de operaciones. (Redacción según Circular número 3/2001, de 24 de septiembre, a Entidades de Crédito, que modifica la Circular 8/1990 de 7 de septiembre, sobre transparencia de las operaciones y protección de la clientela.)
Norma Octava. Coste y rendimiento efectivos de las operaciones
Norma Novena. Publicidad. (Derogada por Circular 6/2010, de 28 de septiembre, del Banco de España, a entidades de crédito y entidades de pago, sobre publicidad de los servicios y productos bancarios. BOE núm.246.11 de octubre de 2010)
Norma Décima. Remisión de comunicaciones y documentos
Capítulo II. Organización y funcionamiento del servicio de reclamaciones.
Norma Undécima. (Derogada por Real Decreto 303/2004, de 20 de febrero, por el que se aprueba el Reglamento de los comisionados para la defensa del cliente de servicios financieros.)
Norma Duodécima. (Derogada por Real Decreto 303/2004, de 20 de febrero, por el que se aprueba el Reglamento de los comisionados para la defensa del cliente de servicios financieros.)
Norma Decimotercera. (Derogada por Real Decreto 303/2004, de 20 de febrero, por el que se aprueba el Reglamento de los comisionados para la defensa del cliente de servicios financieros.)
Norma Decimocuarta. (Derogada por Real Decreto 303/2004, de 20 de febrero, por el que se aprueba el Reglamento de los comisionados para la defensa del cliente de servicios financieros.)
Norma Decimoquinta. (Derogada por Real Decreto 303/2004, de 20 de febrero, por el que se aprueba el Reglamento de los comisionados para la defensa del cliente de servicios financieros.)
Norma Decimosexta. (Derogada por Real Decreto 303/2004, de 20 de febrero, por el que se aprueba el Reglamento de los comisionados para la defensa del cliente de servicios financieros.)
Norma Decimoséptima. (Derogada por Real Decreto 303/2004, de 20 de febrero, por el que se aprueba el Reglamento de los comisionados para la defensa del cliente de servicios financieros.)
Norma Decimoctava. (Derogada por Real Decreto 303/2004, de 20 de febrero, por el que se aprueba el Reglamento de los comisionados para la defensa del cliente de servicios financieros.)
Norma Decimonovena. (Derogada por Real Decreto 303/2004, de 20 de febrero, por el que se aprueba el Reglamento de los comisionados para la defensa del cliente de servicios financieros.)
Norma Vigésima. (Derogada por Real Decreto 303/2004, de 20 de febrero, por el que se aprueba el Reglamento de los comisionados para la defensa del cliente de servicios financieros.)
Norma Vigésima Primera. (Derogada por Real Decreto 303/2004, de 20 de febrero, por el que se aprueba el Reglamento de los comisionados para la defensa del cliente de servicios financieros.)
Norma Vigésima Segunda. (Derogada por Real Decreto 303/2004, de 20 de febrero, por el que se aprueba el Reglamento de los comisionados para la defensa del cliente de servicios financieros.)
Norma Vigésima Tercera. (Derogada por Real Decreto 303/2004, de 20 de febrero, por el que se aprueba el Reglamento de los comisionados para la defensa del cliente de servicios financieros.)
Norma Vigésima Cuarta. (Derogada por Real Decreto 303/2004, de 20 de febrero, por el que se aprueba el Reglamento de los comisionados para la defensa del cliente de servicios financieros.)
Norma Vigésima Quinta. (Derogada por Real Decreto 303/2004, de 20 de febrero, por el que se aprueba el Reglamento de los comisionados para la defensa del cliente de servicios financieros.)
Norma Vigésima Sexta. (Derogada por Real Decreto 303/2004, de 20 de febrero, por el que se aprueba el Reglamento de los comisionados para la defensa del cliente de servicios financieros.)
Norma Vigésima Séptima. (Derogada por Real Decreto 303/2004, de 20 de febrero, por el que se aprueba el Reglamento de los comisionados para la defensa del cliente de servicios financieros.)
Norma Vigésima Octava. Entrada en vigor y normas transitorias
Norma Vigésima Novena. Normas complementarias. (Derogada por Circular 1/2009, de 18 de diciembre, del Banco de España, a entidades de crédito y otras supervisadas, en relación con la información sobre la estructura de capital y cuotas participativas de las entidades de crédito, y sobre sus oficinas, así como sobre los altos cargos de las entidades supervisadas.)
Norma Trigésima. Derogaciones
Disposición transitoria
Anexo I. Declaración obligatoria de tipos de operaciones activas
Anexo II. (Redacción según Circular número 4/2002, de 25 de junio, Entidades de Crédito, sobre estadísticas de los tipos de interés que se aplican a los depósitos y a los créditos frente a los hogares y las sociedades no financieras.)
Anexo II bis. Importe de las operaciones de crédito en pesetas en España con el sector privado residente.(Suprimido por Circular número 4/2002, de 25 de junio, Entidades de Crédito, sobre estadísticas de los tipos de interés que se aplican a los depósitos y a los créditos frente a los hogares y las sociedades no financieras.) (Incorporado por Circular 4/1998, de 27 de enero, del Banco de España, a entidades de crédito y establecimientos de cambio de moneda extranjera, que modifica las Circulares 8/1990, de 7 de septiembre, sobre transparencia de las operaciones y proteccion de la clientela, y 8/1992, de 24 de abril, de cambio de moneda extranjera en establecimientos abiertos al publico.)
Anexo III. Tipos de interés de los depósitos en pesetas. (Suprimido por Circular número 4/2002, de 25 de junio, Entidades de Crédito, sobre estadísticas de los tipos de interés que se aplican a los depósitos y a los créditos frente a los hogares y las sociedades no financieras.)
Anexo III bis. Importe de los depósitos en pesetas. (Suprimido por Circular número 4/2002, de 25 de junio, Entidades de Crédito, sobre estadísticas de los tipos de interés que se aplican a los depósitos y a los créditos frente a los hogares y las sociedades no financieras.) (Incorporado por Circular 4/1998, de 27 de enero, del Banco de España, a entidades de crédito y establecimientos de cambio de moneda extranjera, que modifica las Circulares 8/1990, de 7 de septiembre, sobre transparencia de las operaciones y proteccion de la clientela, y 8/1992, de 24 de abril, de cambio de moneda extranjera en establecimientos abiertos al publico.)
Anexo IV. Límites sobre valoración de cargos y abonos en cuentas activas y pasivas, en cuentas corrientes, de crédito y libretas de ahorro
Anexo V. Cálculo de las tasas de coste o rentabilidad de operaciones
Anexo VI. Comunicaciones a clientes de las liquidaciones de intereses y comisiones
Anexo VII. Folleto informativo sobre préstamos hipotecarios sujetos a la Orden del Ministerio de la Presidencia de 5 de mayo de 1994
Anexo VIII. Tipos de referencia oficiales del mercado hipotecario: Definición y fórmula de cálculo
Anexo IX
ANEXO X (Redacción según Circular número 3/2001, de 24 de septiembre, a Entidades de Crédito, que modifica la Circular 8/1990 de 7 de septiembre, sobre transparencia de las operaciones y protección de la clientela.)
Preámbulo
La Orden Ministerial de 12 de diciembre de 1989 sobre tipos de interés y comisiones, normas de actuación, información a clientes y publicidad de las entidades de crédito (en lo sucesivo, la Orden), de conformidad con lo previsto en el artículo 48.2 de la Ley 26/1988, de 29 de julio, sobre Disciplina e Intervención de las Entidades de Crédito hace extensiva al conjunto de estas entidades las normas que había establecido para las entidades de depósito la Orden de 3 de marzo de 1987, a la vez que introduce algunas modificaciones en la regulación aplicable en la materia, y liberaliza la mayor parte de la publicidad que realicen las entidades de crédito. Del mismo modo, extiende el ámbito de competencia del Servicio de Reclamaciones del Banco de España a las que pudieran formular los clientes de todas las entidades de crédito sobre las actuaciones de las mismas que puedan quebrantar las referidas normas de disciplina o las buenas prácticas y usos bancarios.
Por ello, se hace necesario modificar las circulares 15/1988, de 5 de diciembre, y 24/1987, de 21 de julio, que regulaban las cuestiones citadas en el párrafo anterior en relación con las entidades de depósito, extendiendo su aplicación a todas las entidades de crédito, e introduciendo las modificaciones o precisiones aconsejadas por la experiencia adquirida y por la necesaria progresión en la protección del interés de los usuarios de servicios bancarios. La comunidad de objetivos de ambas circulares aconseja su presentación en un solo texto.
En particular, conforme a lo previsto en la Orden, en esta circular se introduce, como principal novedad del procedimiento de tramitación de las reclamaciones, su previa formulación ante el defensor del cliente u órgano equivalente de la entidad de crédito, cuya general implantación se estima de gran interés.
El establecimiento de este nuevo trámite encuentra su justificación, de un lado, en la propia experiencia del Servicio de Reclamaciones, la cual ha puesto de manifiesto un elevado número de allanamientos de las entidades ante las pretensiones de los reclamantes, y de otro, en la estimable proporción de reclamaciones resueltas a satisfacción de los clientes, por los defensores del cliente que ya vienen operando en algunas entidades. En definitiva, se tiende con ello a agilizar la resolución de numerosas reclamaciones que con gran probabilidad serán atendidas sin necesidad de una ulterior y más compleja actuación administrativa, que en cualquier caso resultará beneficiada por este trámite previo, al recibir la reclamación más documentada.
CAPÍTULO I. TIPOS DE INTERÉS, COMISIONES, PUBLICIDAD Y NORMAS DE ACTUACIÓN CON LA CLIENTELA.
Norma Primera. Publicación de tipos de interés.
1. Los bancos, las cajas de ahorros, la Confederación Española de Cajas de Ahorros, las cooperativas de crédito y las sucursales de entidades de crédito extranjeras publicarán, en la forma establecida en la norma quinta, las informaciones siguientes:
a.Tipo de interés preferencial.
b.Tipos aplicables en los descubiertos en cuenta corriente.
Las entidades harán constar separadamente, en su caso, los tipos aplicables a los descubiertos en cuenta corriente con consumidores, a los que se refiere el artículo 19.4 de la Ley 7/1995, de 23 de marzo, de crédito al consumo (en lo sucesivo, Ley 7/95).
En dichos descubiertos no se podrá aplicar un tipo de interés que dé lugar a una tasa anual equivalente superior a 2,5 veces el interés legal del dinero.
c.Tipos aplicables en los excedidos en cuenta de crédito, o diferencial penalizador sobre el tipo de interés pactado para el crédito correspondiente.
Los tipos publicados a que se refieren los apartados b) y c) serán de obligada aplicación a todas las operaciones de esa naturaleza que no tuviesen fijados contractualmente otros inferiores. Cuando la entidad prevea el cargo de comisiones, la publicación incluirá una referencia a las mismas.
2. A los efectos del apartado anterior se entenderá por tipo preferencial el tipo de interés que las entidades apliquen, en cada momento, a las operaciones realizadas en España, con sus clientes de mayor solvencia incluidos en el sector privado, denominadas en euros o en pesetas, cualquiera que sea su modalidad, a corto plazo y de importante cuantía. A los efectos de la presente Circular, la definición de sector privado se corresponderá con la de otros sectores residentes, contenida en la norma séptima, apartado 7, de la Circular 4/1991, de 14 de junio, a las entidades de crédito, sobre normas de contabilidad.
Se considerarán de importante cuantía aquellos créditos cuyo principal supere un millón de euros, o el 5 % de los recursos propios de la entidad. Se entenderán operaciones a corto plazo aquellas cuya duración original no sea superior a un año.
El tipo de interés preferencial de las cooperativas de crédito se referirá, exclusivamente, a las operaciones crediticias con terceros no socios, indicando en la publicación no practicado cuando no se opere con terceros.
3. Las entidades mencionadas en el apartado 1 precedente publicarán asimismo, en la forma establecida por la norma quinta, los tipos de referencia correspondientes a otros apoyos financieros o plazos que consideren como más habituales o representativos entre los que estén dispuestos a conceder, y en particular los que afecten al consumo y a la adquisición hipotecaria de viviendas. Esta información tendrá carácter orientativo para los clientes, y no limitará la libertad de contratación de las partes reconocida en el número primero de la Orden.
4. Las entidades mencionadas en el apartado 1 precedente comunicarán al Banco de España las informaciones allí requeridas, o las que eventualmente publiquen según lo establecido en el apartado 3, así como sus modificaciones, indicando la fecha desde la que se apliquen los nuevos tipos. Estas comunicaciones se podrán realizar por télex, al que seguirá confirmación escrita, o por telefax.
La información se presentará en el formato recogido en el anexo I de esta Circular.
Norma Primera Bis. Publicación de los tipos de cambio de determinadas operaciones.
Las entidades de crédito que realicen con su clientela operaciones de compraventa de divisas de países no integrados en la Unión Económica y Monetaria contra euros o pesetas, deberán publicar los tipos mínimos de compra y máximos de venta que aplicarán, cuando su importe no exceda de 3.000 euros.
Estos tipos también serán de aplicación a las operaciones de compraventa de esas divisas derivadas de órdenes de transferencia de divisas al extranjero, cuando los importes no excedan de la cantidad señalada en el párrafo anterior.
2. Las entidades de crédito que realicen con su clientela operaciones de compraventa de billetes extranjeros de países no integrados en la Unión Económica y Monetaria contra euros o pesetas, deberán publicar los tipos mínimos de compra y máximos de venta o, en su caso, los tipos únicos que aplicarán para los importes que no excedan de 3.000 euros.
3. Las entidades de crédito publicarán los tipos de conversión de las monedas integradas en el euro, que será el resultante de su respectiva equivalencia con el euro y que aplicarán, como únicos, a la compraventa de billetes de dichas monedas entre sí, y a cualquier otra operación entre esas monedas.
La publicación de los tipos de cambio y de conversión se acompañará, cuando proceda, de las comisiones y gastos, incluso mínimos, que apliquen en las operaciones citadas en los párrafos precedentes, explicando el concepto al que respondan cuando no se derive de la propia denominación adoptada para la comisión.
Norma Segunda. Información sobre tipos de interés aplicados.
Todos los Bancos, las Cajas de Ahorros, la Confederación Española de Cajas de Ahorros y las sucursales en España de Entidades de Crédito extranjeras deberán presentar mensualmente al Banco de España, dentro de los quince primeros días de cada mes (o en el primer día hábil en Madrid posterior a dicha quincena, si el último día de la misma fuese festivo en dicha localidad), información de los tipos de interés medios ponderados de determinadas operaciones, realizadas en España, con el sector privado residente en España, denominadas en euros, que hayan sido iniciadas o renovadas en el mes anterior, al objeto de que el Banco de España confeccione y publique ciertos índices o tipos de referencia del Mercado Hipotecario. Esta información se declarará en el formato incluido en el anejo II, con arreglo a las indicaciones contenidas en él.
(Redacción según Circular número 4/2002, de 25 de junio, Entidades de Crédito, sobre estadísticas de los tipos de interés que se aplican a los depósitos y a los créditos frente a los hogares y las sociedades no financieras.)
La presentación de estados al Banco de España deberá hacerse mediante transmisión telemática, de conformidad con las especificaciones técnicas que se comuniquen al efecto. Excepcionalmente, y sólo por causas debidamente justificadas, el Banco de España podrá autorizar su presentación en impresos, que deberán estar fechados, sellados y firmados por el Presidente, Consejero delegado o Director general.
Los tipos medios se calcularán a partir de los tipos de todas las operaciones efectivamente realizadas en el período de referencia, ponderados por sus principales, en el caso de los préstamos y cuentas de crédito, y por sus importes nominales en los demás casos, y calculados de acuerdo con los procedimientos señalados en la norma octava.
Norma Tercera. Tarifas de comisiones.
1. Todas las entidades de crédito establecerán libremente sus tarifas de comisiones, condiciones y gastos repercutibles a la clientela por las operaciones o servicios realizados o iniciados en España, sin otras limitaciones que las contenidas en la Orden y en la presente Circular.
Las tarifas comprenderán todas las operaciones o servicios que la entidad realiza habitualmente.
Podrán excluirse de las tarifas las comisiones derivadas de servicios financieros de carácter excepcional o singular, y las que puedan corresponder a garantías crediticias, a aseguramiento de emisiones privadas y a servicios de factoraje sin recurso. No obstante, podrán incluirse en las tarifas, con carácter indicativo, comisiones para estos servicios, sin perjuicio de que se les aplique en cada caso el tipo pactado.
En las tarifas de comisiones y gastos repercutibles se indicarán los supuestos y, en su caso, periodicidad con que serán aplicables. No se tarifarán servicios u operaciones no practicados. Tampoco se incluirán en las tarifas, sin perjuicio de su reflejo en los contratos correspondientes, las penalizaciones o indemnizaciones que deba pagar el cliente por incumplimiento de sus obligaciones contractuales o que sean consecuencia expresa de la compensación del lucro cesante en que incurra la entidad.
1 bis. No obstante lo establecido en el apartado 1:
a.En los préstamos hipotecarios a interés variable que puedan ser objeto de subrogación o novación en los términos previstos por la Ley 2/1994, la comisión por cancelación anticipada se ajustará a lo dispuesto en el artículo 3 y en la disposición adicional primera de dicha Ley, no pudiendo figurar en las tarifas comisiones superiores al 1 %.
b.En los préstamos hipotecarios sobre viviendas a que se refiere el artículo 1 de la Orden de la Presidencia del Gobierno de 5 de mayo de 1994, sobre transparencia de las condiciones financieras de los préstamos hipotecarios (en lo sucesivo, Orden sobre préstamos hipotecarios), la comisión de apertura, que se devengará una sola vez, englobará cualesquiera gastos de estudio, de concesión o tramitación del préstamo hipotecario u otros similares inherentes a la actividad de la entidad prestamista ocasionada por la concesión del préstamo. En el caso de préstamos denominados en divisas, la comisión de apertura incluirá, asimismo, cualquier comisión por cambio de moneda correspondiente al desembolso inicial del préstamo.
Las restantes comisiones y gastos repercutibles a cargo del prestatario, que la entidad aplique sobre estos préstamos, deberán responder a la prestación de un servicio específico distinto de la concesión o de la administración ordinaria del préstamo.
c.La comisión pactada, en su caso, por reembolso anticipado en los créditos al consumo a que se refiere la Ley 7/1995, de acuerdo con su artículo 10, no podrá exceder del 1,5 % del capital reembolsado anticipadamente, cuando se trate de contratos en los que se contemple la modificación del coste del crédito, o del 3 % en los contratos en los que no se prevea dicha modificación. En las tarifas no podrán figurar comisiones superiores a las mencionadas.
2. Las entidades no podrán cargar cantidades superiores a las que se deriven de las tarifas, aplicando condiciones más gravosas, o repercutiendo gastos no previstos. Se exceptúan de esta regla las comisiones señaladas expresamente como indicativas, según lo dispuesto en el penúltimo párrafo del apartado 1 precedente.
Cuando a una categoría de operaciones definida por unas circunstancias objetivas, determinadas atendiendo a la naturaleza del servicio, se le aplique, con carácter general, una comisión máxima inferior a la que figura en el folleto de tarifas para las demás operaciones de análoga naturaleza, deberá procederse a su desagregación y tarifarse separadamente en el folleto.
3. Las comisiones y gastos repercutidos deben responder a servicios efectivamente prestados o gastos habidos. En ningún caso podrán cargarse comisiones o gastos por servicios no aceptados o solicitados en firme por el cliente.
Consecuentemente, no podrán exigirse comisiones de apertura o similares en los descubiertos en cuenta corriente por valoración, o reiterarse su aplicación en otros descubiertos no pactados que se produzcan antes de la siguiente liquidación de la cuenta.
Del mismo modo, en las operaciones en moneda extranjera (divisas o billetes) tampoco podrán realizarse conversiones artificiales o innecesarias a través de la peseta u otra moneda ni, en el caso de cuentas en moneda extranjera, percibirse comisiones por cambio de moneda por ingresos o disposiciones de efectivo en la misma moneda en que la cuenta esté abierta, sin perjuicio de repercutir los gastos que procedan por la manipulación de las remesas de billetes extranjeros.
Igualmente, en las transferencias recibidas reguladas en la Ley 9/1999, de 12 de abril, en las que no se indique expresamente que las comisiones y gastos son total o parcialmente a cargo del beneficiario, no podrá cargarse ninguna comisión o gasto por dicho servicio al beneficiario.
(Redacción según Circular número 3/2001, de 24 de septiembre, a Entidades de Crédito, que modifica la Circular 8/1990 de 7 de septiembre, sobre transparencia de las operaciones y protección de la clientela.)
Asimismo, cuando se ordene una transferencia, la Entidad del ordenante estará obligada a ejecutarla por su importe total, a menos que el ordenante haya especificado que los gastos relativos a la transferencia deban correr total o parcialmente a cargo del beneficiario; en todos los casos, la Entidad del ordenante deberá comunicar tales especificaciones a la Entidad del beneficiario y a las Entidades intermediarias, cuando existan.
(Redacción según Circular número 3/2001, de 24 de septiembre, a Entidades de Crédito, que modifica la Circular 8/1990 de 7 de septiembre, sobre transparencia de las operaciones y protección de la clientela.)
4. Las tarifas se recogerán en un folleto, que se redactará de forma clara, concreta y fácilmente comprensible para la clientela, evitando la inclusión de conceptos innecesarios o irrelevantes.
Las tarifas correspondientes a las operaciones y actividades con valores comprendidas en el ámbito de aplicación de la Orden de 25 de octubre de 1995, de desarrollo parcial del Real Decreto 629/1993, de 3 de mayo, sobre normas de actuación en los mercados de valores y registros obligatorios, se incluirán en el folleto en epígrafes propios, separando dentro de ellos las correspondientes a operaciones del Mercado de Deuda Pública en Anotaciones, y sin incluir comisiones o gastos que correspondan a operaciones o actividades diferentes de las indicadas; la redacción de estos epígrafes se llevará a cabo respetando las disposiciones establecidas en aquellas normas y en las que dicte para su desarrollo la Comisión Nacional del Mercado de Valores.
El Banco de España remitirá a la Comisión Nacional del Mercado de Valores los epígrafes correspondientes a las operaciones y actividades con valores distintos de los negociados en el Mercado de Deuda Pública en Anotaciones, a los efectos previstos en el número 4 de la citada Orden de 25 de octubre de 1995.
Las Entidades de Crédito que presten de modo habitual el servicio de transferencias de fondos con el exterior incluirán en el folleto de tarifas, en un apartado específico, las condiciones generales aplicables a dichas transferencias, cuyo contenido mínimo, de conformidad con lo previsto en los artículos 2 y 6 de la Orden de 16 de diciembre de 2000, de desarrollo de la Ley 9/1999, será el que se detalla en el anexo X. Las condiciones que las Entidades hagan públicas se aplicarán obligatoriamente a las transferencias que realicen, salvo que contractualmente se pacten otras más favorables para el cliente.
(Redacción según Circular número 3/2001, de 24 de septiembre, a Entidades de Crédito, que modifica la Circular 8/1990 de 7 de septiembre, sobre transparencia de las operaciones y protección de la clientela.)
Se entenderá por transferencia con el exterior la operación efectuada por iniciativa de una persona física o jurídica con el fin de que se entregue una cantidad de dinero al beneficiario de la misma, cualquiera que sea la forma en que se prevea la recepción o entrega de los fondos, siempre que el ordenante, en el caso de las transferencias ordenadas, o el beneficiario, en el caso de las recibidas, entregue o reciba los fondos en España, y el correspondiente beneficiario u ordenante esté situado en Estados terceros, incluidos los de la Unión Europea.
(Redacción según Circular número 3/2001, de 24 de septiembre, a Entidades de Crédito, que modifica la Circular 8/1990 de 7 de septiembre, sobre transparencia de las operaciones y protección de la clientela.)
Cuando una operación o contrato específico pueda dar lugar a la aplicación de comisiones o gastos incluidos en más de un epígrafe del folleto, se establecerá en cada uno de ellos la referencia cruzada con los restantes.
Los folletos se remitirán al Banco de España, antes de su aplicación, y de conformidad con las especificaciones técnicas que se comuniquen al efecto, para que compruebe que se cumplen los requisitos señalados en este apartado. Los folletos se entenderán conformes cuando hayan transcurrido quince días hábiles, contados a partir de su recepción en el Banco de España, sin que éste o, en su caso, la Comisión Nacional del Mercado de Valores, hubieran efectuado alguna manifestación expresa, objeción o recomendación al respecto. No obstante, una vez conformes los folletos, las Entidades deberán comunicar, en la forma que las especificaciones técnicas establezcan y, con al menos, cuarenta y ocho horas de antelación, la fecha en la cual entrarán en vigor, fecha en la que se incluirán en las páginas del Banco de España en Internet aquellos epígrafes del folleto cuya puesta a disposición del público corresponde al Banco de España, sin perjuicio de que se pueda efectuar la consulta de los folletos en cualquier oficina de la Entidad de Crédito en cuestión.
(Redacción según Circular número 3/2001, de 24 de septiembre, a Entidades de Crédito, que modifica la Circular 8/1990 de 7 de septiembre, sobre transparencia de las operaciones y protección de la clientela.)
5. Las entidades podrán confeccionar folletos parciales que recojan de forma íntegra y textual todos los conceptos del folleto general que sean de aplicación a una o varias operaciones de uso común de la clientela. Esos folletos mencionarán expresamente su condición de parciales.
Los folletos parciales deberán remitirse al Banco de España para su comprobación conforme a lo dispuesto en el apartado precedente.
6. Cada vez que se produzcan modificaciones o actualizaciones del folleto, la Entidad remitirá al Banco de España la página o páginas modificadas, señalando las modificaciones efectuadas respecto a las páginas registradas, siendo de aplicación el procedimiento de remisión, comprobación, entrada en vigor y puesta a disposición del público dispuesto en el apartado cuatro.
(Redacción según Circular número 3/2001, de 24 de septiembre, a Entidades de Crédito, que modifica la Circular 8/1990 de 7 de septiembre, sobre transparencia de las operaciones y protección de la clientela.)
7. El folleto y, en su caso, los folletos parciales, en lo que les afecten, incluirán, asimismo, las reglas de valoración y liquidación que aplique la entidad, así como las relativas a plazos máximos de puesta a disposición de valores y fondos, según lo establecido en la Orden de 25 de octubre de 1995.
8. A efectos de la aplicación de comisiones al cobro de documentos en cartera, se entenderá por domiciliación bancaria la indicación de que su pago se ha de hacer con cargo a una cuenta abierta en una entidad de depósito. Para ello se estará a lo dispuesto en la Ley 19/1985, Cambiaria y del Cheque, sobre domiciliación de letras de cambio, que, a los efectos de esta Circular, será aplicable a cualquier documento de cobro.
Norma Cuarta. Condiciones de valoración.
1. Las condiciones de valoración que establezcan las entidades de crédito se ajustarán a las limitaciones contenidas en el anexo IV de la presente circular. En el caso de las entidades que no estén autorizadas a mantener depósitos a la vista, aquellas limitaciones regirán en lo que pueda serles de aplicación.
2. Para las operaciones no contempladas expresamente en el referido anexo IV, los adeudos y abonos se valorarán el mismo día en que se efectúe el apunte, si no se produce movimiento de fondos fuera de la entidad; si se produjese, los abonos se valorarán no más tarde del día hábil siguiente a la fecha del apunte. En el caso de entregas de cheques, transferencias bancarias, órdenes de entrega y similares, si la operación procede de entidades bancarias en el extranjero, incluidas las sucursales de la propia entidad en el extrajero, los abonos se valorarán no más tarde del día hábil siguiente a la fecha en que el importe de la operación haya sido, a su vez, abonado a la entidad del beneficiario, sin perjuicio de la valoración de la venta de las divisas cuando proceda.
A efectos de la valoración aplicable a las operaciones realizadas a través de cajeros automáticos e instalaciones electrónicas, la fecha en que deba entenderse aceptada la operación o realizado el apunte se determinará atendiendo a lo establecido en los contratos relativos a los medios electrónicos de pago u otros instrumentos que permitan el uso de dichos cajeros o instalaciones.
3. En las operaciones con deuda anotada, tanto a la emisión y amortización de los valores como en el pago de intereses, las entidades gestoras aplicarán a sus clientes, en las liquidaciones de efectivo, fecha valor coincidente con la aplicada por la Central de Anotaciones.
4. En todas las operaciones, y con independencia de aplicar puntualmente las normas de valoración correspondientes, las entidades pondrán los medios necesarios para abonar o adeudar las cuentas de los clientes sin demoras o retrasos, aplicando la máxima diligencia en facilitarles la disponibilidad pronta de los fondos. Las órdenes de transferencia de fondos se entenderán aceptadas y se cursarán, siempre que exista cobertura financiera suficiente para efectuarlas, a más tardar, el día hábil siguiente al de la recepción de la orden, salvo que las Entidades acrediten haber solicitado al cliente condiciones o informaciones adicionales a las generales que figuran en el correspondiente apartado del folleto de tarifas.
(Redacción según Circular número 3/2001, de 24 de septiembre, a Entidades de Crédito, que modifica la Circular 8/1990 de 7 de septiembre, sobre transparencia de las operaciones y protección de la clientela.)
Igualmente, las entidades pondrán los medios necesarios para comunicar sin demora a su presentador los impagos de recibos domiciliados y, en todo caso, salvo circunstancias excepcionales, dentro de los diez días hábiles siguientes al impago.
Norma Quinta. Tablón de anuncios.
1. Las entidades dispondrán, en todas y cada una de las oficinas abiertas al público, de un tablón de anuncios permanente, que se situará en lugar destacado de forma que atraiga la atención del público, y su contenido resulte fácilmente legible.
En el tablón se recogerá toda aquella información que las entidades deban poner en conocimiento de sus clientes, y en particular la siguiente:
a.La información a que se refieren los apartados 1 y 3 de la norma primera, que se presentará en el formato recogido en el anexo I de esta Circular.
b. La existencia y disponibilidad de un folleto de tarifas y normas de valoración, de forma que se invite a su consulta, y especificando que en el mismo figuran, en un apartado propio, las condiciones generales aplicables a las transferencias de fondos con el exterior. Cuando la Entidad ofrezca la posibilidad de realizar operaciones a través de Internet, se indicará que dicho folleto también está disponible en sus páginas, citando la dirección de Internet en la que pueda consultarse.
(Redacción según Circular número 3/2001, de 24 de septiembre, a Entidades de Crédito, que modifica la Circular 8/1990 de 7 de septiembre, sobre transparencia de las operaciones y protección de la clientela.)c.Las modificaciones del tipo de interés, comisiones o gastos repercutibles, en contratos de duración indefinida, a que se refiere el apartado 8 de la norma sexta.
d.Las modificaciones de tipos de interés de títulos emitidos a tipo variable, a que se refiere el apartado 9 de la norma sexta.
e.Referencia al Servicio de Reclamaciones del Banco de España y, en su caso, al defensor del cliente u órgano equivalente, cuando la entidad disponga de él, indicando su nombre y dirección, y la necesidad de acudir a él con carácter previo a la formulación de reclamaciones ante el Servicio citado.
f. Referencia a la normativa que regula la transparencia de las operaciones bancarias y la protección de la clientela y, en particular, a la Orden, a la Ley de Crédito al Consumo, a la Orden de 25 de octubre de 1995, a la Orden sobre préstamos hipotecarios, a la Ley 9/1999, de 12 de abril, por la que se regula el régimen jurídico de las transferencias entre Estados miembros de la Unión Europea, a la Orden de 16 de noviembre de 2000 y a la presente Circular, todas ellas con sus fechas y las de los Boletines Oficiales del Estado en que se publicaron.
(Redacción según Circular número 3/2001, de 24 de septiembre, a Entidades de Crédito, que modifica la Circular 8/1990 de 7 de septiembre, sobre transparencia de las operaciones y protección de la clientela.)
g.Referencia, en su caso, a la existencia de tipos de cambio mínimos de compra y máximos de venta que se apliquen, respectivamente, a las operaciones de compraventa de divisas y de billetes, mencionados en los apartados 1 y 2 del la norma primera bis, y a las comisiones y gastos aplicables. En las oficinas bancarias que realicen habitualmente esas operaciones, dichos tipos se mostrarán al público en lugar adecuado.
h.Los tipos de conversión entre la peseta y las monedas integradas en el euro, acompañados, si los hay, de las comisiones o gastos que, en concepto distinto del de cambio puedan aplicase a las operaciones de compraventa de billetes o divisas, explicando el concepto al que respondan cuando no se derive de la propia denominación adoptada para la comisión.
i.La existencia del folleto informativo gratuito sobre préstamos hipotecarios, a que se refiere la Orden sobre préstamos hipotecarios, cuando la entidad ofrezca tales operaciones.
j.La exigida por las letras a) y d) del apartado 3 del número 5, y por el apartado 8 del número 8 de la Orden de 25 de octubre de 1995.
k.Referencia al derecho de los clientes a solicitar las ofertas vinculantes sobre créditos al consumo y préstamos hipotecarios a que aluden el apartado 13 de la norma sexta y el apartado 1.a) de la norma sexta bis, indicando expresamente el carácter gratuito de su entrega.
l. Referencia al derecho de los clientes a obtener una oferta con las condiciones específicas aplicables a una orden de transferencia transfronteriza de las reguladas en la Ley 9/1999, de 12 de abril, cuyo destino y divisa hayan sido precisados por el cliente, salvo que la Entidad no desee realizar la operación.
(Redacción según Circular número 3/2001, de 24 de septiembre, a Entidades de Crédito, que modifica la Circular 8/1990 de 7 de septiembre, sobre transparencia de las operaciones y protección de la clientela.)
2. Las entidades que trabajen exclusivamente en régimen de banca telefónica deberán comunicar por escrito a sus clientes, con periodicidad al menos trimestral, los datos que son de obligada inserción en el tablón de anuncios, a que se hace referencia en el apartado 1, indicando, cuando proceda, la fecha desde la que tengan vigencia.
3. Las Entidades que ofrezcan la posibilidad de realizar operaciones a través de Internet, habrán de incluir en la dirección propia de la Entidad, en posición suficientemente destacada, su denominación social completa y, en su caso, nombre comercial, su domicilio social completo, su naturaleza de Entidad de Crédito sujeta a la supervisión del Banco de España, así como una mención a su inscripción en el correspondiente registro administrativo especial a cargo del Banco de España.
(Redacción según Circular número 3/2001, de 24 de septiembre, a Entidades de Crédito, que modifica la Circular 8/1990 de 7 de septiembre, sobre transparencia de las operaciones y protección de la clientela.)
También incluirán, en posición similar y de forma que atraiga la atención del cliente potencial, las informaciones de obligatoria inserción en el tablón de anuncios regulado en esta norma, así como el folleto de tarifas y las normas de valoración descritas en las normas tercera y cuarta, de forma que su consulta sea accesible, sencilla y gratuita, sin perjuicio del coste de la conexión; aquellas informaciones, folleto y normas deben ser accesibles para el público en general, no pudiendo quedar restringido su acceso a los clientes de la Entidad.
Norma Sexta. Entrega de documentos contractuales y de tarifas de comisiones y normas de valoración.
1. La entrega del documento contractual, relativo a la operación efectuada, a que se refiere el número séptimo de la Orden, será obligatoria para las entidades en los casos siguientes:
a.En la apertura de cuentas corrientes a la vista o cuentas de ahorro. También deberá entregarse el correspondiente documento contractual en la emisión y, cuando se modifiquen las condiciones de emisión, en la renovación de medios electrónicos de pago vinculados a dichas cuentas, tales como las tarjetas de débito u otras.
b.En las operaciones siguientes, cuando su importe sea inferior a 60.000 euros:
Operaciones de depósito a plazo, o captación de fondos mediante pagarés bancarios o instrumentos similares.
Operaciones de compraventa, con pacto de recompra, de instrumentos financieros negociados en mercados secundarios organizados.
Operaciones de préstamo o crédito, incluidas las instrumentadas mediante tarjeta de crédito.
c.En las operaciones de arrendamiento financiero.
d.En las operaciones de compraventa, con pacto de recompra, sobre instrumentos financieros no negociados en mercados secundarios organizados, y en cualesquiera otras cesiones de activos no incorporados a valores negociables, o de derechos o cuotas sobre cualquier clase de activo.
e.Siempre que lo pida el cliente.
Cuando las Entidades realicen por medios electrónicos los contratos a que se refiere el presente apartado, la entrega del documento contractual podrá realizarse, a elección del cliente, bien enviando al mismo el documento contractual en un soporte electrónico duradero que permita al cliente su lectura, impresión y conservación, bien enviándole justificación escrita de la contratación efectuada en la que deberán constar todos los extremos recogidos en el contrato indicando, además, el momento del acuerdo de voluntades y el medio a través del cuál se produjo. En cualquier caso la Entidad deberá conservar el recibí del cliente.
(Redacción según Circular número 3/2001, de 24 de septiembre, a Entidades de Crédito, que modifica la Circular 8/1990 de 7 de septiembre, sobre transparencia de las operaciones y protección de la clientela.)
En las operaciones formalizadas en documento notarial se estará, en cuanto a la obtención de copias por las partes, a lo dispuesto en la normativa notarial.
1 bis. Para la entrega del documento contractual en las operaciones con valores a que se refieren las letras a) y b) del número séptimo de la Orden de 25 de octubre de 1995 ya citada, se estará a lo que al efecto determinen la propia Orden y normas que la desarrollen.
Sin perjuicio de lo previsto en la Orden de 7 de julio de 1989, sobre cuentas financieras, y en la Circular, se remitirán al Banco de España, para las comprobaciones a que se refieren los apartados 4 y 7 del número octavo de la Orden de 25 de octubre de 1995, los contratos tipo que las entidades pretendan utilizar para desarrollar alguna de las operaciones a que se refiere el apartado 1 de dicho número octavo, siempre que dichas operaciones vayan a realizarse de modo exclusivo con instrumentos negociados en el Mercado de Deuda Pública en Anotaciones. Los contratos se entenderán conformes cuando, transcurridos quince días desde su recepción, el Banco de España no hubiera efectuado ninguna manifestación expresa, objeción o recomendación al respecto, o con anterioridad al transcurso de ese período, cuando el Banco de España comunique a la entidad su conformidad.
2. La entidad retendrá y conservará copia firmada por el cliente del documento contractual; se exceptúan de este requisito los depósitos instrumentados en libretas cuando estas sean el documento contractual. También conservará el recibí del cliente a la copia del documento que le haya sido entregada. Cuando los contratos sean intervenidos por fedatario público, la entidad podrá enviar por correo el contrato intervenido; en estos casos, el recibí del cliente vendrá constituido por el correspondiente acuse de recibo del envío. Cuando la contratación se haya efectuado por medios electrónicos, la Entidad deberá conservar constancia documental de la misma en soporte duradero; en idéntico soporte deberá conservar el recibí del cliente cuando éste haya elegido recibir por esa vía el documento contractual.
(Redacción según Circular número 3/2001, de 24 de septiembre, a Entidades de Crédito, que modifica la Circular 8/1990 de 7 de septiembre, sobre transparencia de las operaciones y protección de la clientela.)
3. No será preceptiva la entrega de documento contractual en las operaciones de crédito que consistan en descubiertos en cuenta corriente, o en la concesión de anticipos sin interés a empleados de la propia entidad, salvo cuando lo pida el interesado.
En el caso de descubiertos aceptados tácitamente que se prolonguen durante más de tres meses, la entidad comunicará por escrito al cliente, de forma individualizada, el tipo de interés efectivo anual aplicado, y las comisiones y gastos cargados, cuando no lo hubiese hecho de conformidad con lo que establece la norma séptima.
4. En el descuento comercial se entenderá que la factura de presentación, complementada por el documento de liquidación de la misma, cumple la función de documento contractual, a los efectos previstos en el apartado 1 de esta norma.
5. En los casos previstos en el apartado 1 anterior se entregará un ejemplar de las tarifas de comisiones y gastos repercutibles y las normas sobre fechas de valoración que sean de aplicación a la operación concertada. Para ello bastará entregar la hoja u hojas del folleto en que figuren todos los conceptos de aplicación a esa operación, o los folletos parciales mencionados en el apartado 5 de la norma tercera, cuando existan.
Dicha entrega no será necesaria cuando se trate de préstamos hipotecarios en los que se hubieran cumplido las formalidades de entrega del folleto informativo y oferta vinculante establecidas en la Orden sobre préstamos hipotecarios.
6. Los documentos contractuales relativos a operaciones activas o pasivas en las que intervenga el tiempo deberán recoger de forma explícita y clara los siguientes extremos:
a.El tipo de interés nominal que se utilizará para la liquidación de intereses o, en el caso de operaciones al descuento, los precios efectivos inicial y final de la operación. Igualmente se recogerán los recargos por aplazamiento aplicables.
Cuando el tipo de interés sea variable, se especificará, de forma precisa e inequívoca, la forma en que se determinará en cada momento.
b.La periodicidad con que se producirá el devengo de intereses, las fechas de devengo y liquidación de los mismos o, en su caso, de los precios efectivos y rcargos citados en la letra anterior, la fórmula o métodos utilizados para obtener, a partir del tipo de interés nominal, el importe absoluto de los intereses devengados y, en general, cualquier otro dato necesario para el cálculo de dichos importes.
c.Las comisiones que sean de aplicación, con indicación concreta de su concepto, cuantía, fechas de devengo y liquidación, así como, en general, cualquier otro dato necesario para el cálculo del importe absoluto de tales conceptos. No serán admisibles las remisiones genéricas a las tarifas.
En particular, los contratos asociados a la emisión de tarjetas de crédito, o de otros medios electrónicos de pago (tarjetas de débito, monedero, etc.), o en los contratos sobre uso de sistemas telefónicos o electrónicos, de acceso a los servicios bancarios a que se refiere el párrafo segundo del apartado 1 de esta norma, reflejarán las comisiones que se deriven de su emisión o establecimiento, las ligadas a su renovación, recarga o mantenimiento, y todas aquellas vinculadas al uso, cualquiera que este sea, del medio electrónico.
d.Los derechos que contractualmente correspondan a las partes, en orden a la modificación del interés pactado o de las comisiones o gastos repercutibles aplicados; el procedimiento a que deban ajustarse tales modificaciones, que, en todo caso, deberán ser comunicadas a la clientela con antelación razonable a su aplicación: y los derechos de que, en su caso, goce el cliente cuando se produzca tal modificación.
En los contratos de crédito al consumo y en los de financiación de ventas de bienes muebles a plazos sujetos a la Ley 50/1965, a los que sea de aplicación el artículo 8 de la Ley 7/1995, se recogerá, asimismo, el diferencial que se aplicará, en su caso, al índice de referencia utilizado para determinar el nuevo coste, y la identificación del índice utilizado o, en su defecto, una definición clara del mismo y del procedimiento para su cálculo. Los datos que sirvan de base al índice deberán ser agregados de acuerdo con un procedimiento objetivo.
e.Los derechos del cliente en cuanto al posible reembolso anticipado de la operación.
f.Los demás que deban incluirse de acuerdo con la normativa específica de cada entidad de crédito.
g.En cuanto a los gastos repercutibles, cuando su cuantía no pueda determinarse en el momento de la firma del contrato, figurará al menos su concepto. Cuando se repercutan gastos que la entidad haya satisfecho de forma globalizada y resulte imposible su individualización, los folletos de tarifas deberán recoger las cuantías repercutibles.
En el caso de cuentas de ahorro o imposiciones a plazo instrumentadas en libretas, los extremos recogidos en las letras anteriores podrán incorporarse a la propia libreta o a un documento contractual diferente.
6 bis. El contenido de los documentos contractuales sobre las operaciones con valores incluidas en el ámbito de aplicación de la Orden de 25 de octubre de 1.995 ya citada se ajustará a lo establecido en la misma y en las normas que la desarrollen.
7. En las operaciones activas o pasivas concertadas a tipo de interés variable, los tipos publicados o practicados por la propia entidad de crédito, o por otras de su grupo, no podrán ser utilizados como referencia por ninguna de estas entidades. Los nuevos tipos resultantes de la variación del de referencia deberán comunicarse al cliente, sea de forma individual, sea por los procedimientos establecidos en el siguiente apartado, cuando sean de aplicación.
En ningún caso, el coste total de las operaciones activas podrá ser modificado en perjuicio del prestatario, a no ser que esté previsto en acuerdo mutuo de las partes formalizado por escrito.
La variación del coste del crédito acordada en los contratos de crédito al consumo y en los de financiación de ventas de bienes muebles a plazo sujetos a la Ley 50/1965, a los que sea de aplicación el artículo 8 de la Ley 7/1995, se deberá ajustar, al alza o a la baja, a la de un índice de referencia objetivo.
Cuando se trate de los préstamos a que se refiere el artículo 6.2 de la Orden sobre préstamos hipotecarios, las entidades únicamente podrán utilizar como índices o tipos de referencia aquellos que cumplan las siguientes condiciones:
a.Que no dependan exclusivamente de la propia entidad de crédito, ni sean susceptibles de influencia por ella, en virtud de acuerdos o prácticas conscientemente paralelas con otras entidades.
b.Que los datos que sirvan de base al índice sean agregados, de acuerdo con un procedimiento matemático objetivo.
Las entidades pondrán la máxima diligencia en comunicar, con exactitud y sin demora, las variaciones que se produzcan en los tipos de interés.
8. La obligación de comunicación previa a la clientela de las modificaciones del tipo de interés, a que se refiere la letra d) del apartado 6 anterior, podrá sustituirse por su publicación, con antelación razonable a su aplicación, en un diario de general difusión, siempre que así se prevea expresamente en el contrato, que deberá en tal caso indicar el diario en que se anunciará. En caso de interrupción de la publicación de ese diario, deberá notificarse a los clientes su sustitución, bien directamente bien por el procedimiento señalado en el párrafo siguiente.
La comunicación previa al cliente no será precisa cuando se trate de préstamos a tipo variable sujetos a la Orden sobre préstamos hipotecarios, que utilicen como referencia uno de los tipos de referencia oficiales, a que se refiere el apartado 3 de la norma sexta bis, y el tipo aplicable al préstamo se obtenga, bien añadiendo al tipo de referencia un margen constante (positivo, nulo o negativo) expresado en puntos o fracciones de punto, bien aplicando a aquel un determinado porcentaje.
Tampoco será precisa la comunicación previa al cliente en los créditos al consumo y en las financiaciones de ventas de bienes muebles a plazos sujetas a la Ley 50/1965, a los que sea de aplicación el artículo 8 de la Ley 7/1995, cuando las partes hayan convenido la utilización de un tipo de referencia publicado oficialmente por Resolución del Ministerio de Economía y Hacienda o por el Banco de España. Cuando no se utilicen esos tipos de referencia, las modificaciones en el coste total del crédito deberán ser notificadas por el prestamista al prestatario de forma individualizada, incluyendo el cómputo detallado, según el procedimiento de cálculo acordado, que da lugar a esa modificación, e indicando el procedimiento que el prestatario podrá utilizar para reclamar ante el prestamista en caso de que discrepe del cálculo efectuado.
En los contratos de duración indefinida, la comunicación de las modificaciones del tipo de interés, comisiones o gastos repercutibles podrá también ser realizada mediante la publicación de las nuevas condiciones, en la forma prevista en la norma quinta, durante los dos meses siguientes a la referida modificación, no pudiendo aplicarlas hasta transcurrido ese plazo. Las tarifas publicadas serán, no obstante, de inmediata aplicación en las operaciones derivadas de peticiones concretas e individualizadas de los clientes. En todo caso, las modificaciones del tipo de interé, comisiones o gastos repercutibles aplicables en los contratos de emisión de tarjetas de crédito, o de medios electrónicos de pago, o en los contratos sobre uso de sistemas telefónicos o electrónicos de acceso a los servicios bancarios a que se refiere el segundo párrafo del apartado 1 de esta norma, deberán comunicarse previa e individualmente a la clientela con antelación razonable. El plazo mínimo en el que deba realizarse dicha comunicación previa figurará en el folleto de tarifas a que se refiere la norma tercera de esta Circular.
Las comunicaciones de las modificaciones de las tarifas de comisiones y gastos repercutibles que afecten a clientes con los que la entidad haya suscrito los contratos a que se refiere el apartado 3 del número noveno de la Orden de 25 de octubre de 1995 se ajustarán a lo establecido en dicha norma y disposiciones que la desarrollen.
Sin perjuicio de lo dispuesto en los párrafos anteriores, la información sobre modificaciones deberá facilitarse a la clientela afectada en la primera comunicación que, en el marco de la relación contractual, se dirija al cliente.
Si las modificaciones del tipo de interés, comisiones o gastos repercutibles, implicasen claramente un beneficio para el cliente, podrán ser aplicadas inmediatamente.
En los créditos en cuenta corriente con consumidores a que se refiere el artículo 19.1 de la Ley 7/1995, el cliente deberá ser informado por escrito de cualquier cambio en el tipo de interés o en los gastos pertinentes en el momento en que se produzca, bien en un extracto de cuenta, o de cualquier otra forma.
Las comunicaciones individualizadas que sea preciso realizar de conformidad con este apartado podrán realizarse por medios electrónicos, cuando el cliente así lo solicite, o cuando éste haya sido el procedimiento utilizado en la contratación y así esté previsto en el documento contractual.
(Redacción según Circular número 3/2001, de 24 de septiembre, a Entidades de Crédito, que modifica la Circular 8/1990 de 7 de septiembre, sobre transparencia de las operaciones y protección de la clientela.)
9. La modificación de los tipos de interés de las obligaciones, bonos u otros títulos al portador decidida en asamblea de obligacionistas, bonistas o tenedores sobre títulos emitidos originalmente a tipo fijo, se sujetará a la regla especial establecida para los contratos de duración indefinida en el párrafo cuarto del apartado anterior. Cuando los títulos se emitan a tipo variable, los nuevos tipos resultantes de la variación del de referencia podrán aplicarse de modo inmediato, si bien se publicarán en los tablones de anuncios de la entidad.
10. En los casos en que la entrega del contrato sea obligatoria, o cuando así lo solicite el cliente, las entidades de crédito harán constar en el mismo, a efectos informativos, con referencia a los términos del contrato y al importe efectivo de la operación, el coste o rendimiento efectivo de la misma, expresados mediante la indicación de una tasa anual equivalente (TAE), calculada con arreglo a las disposiciones que se contienen en la norma octava de esta Circular, bajo la hipótesis de que las operaciones tendrán vigencia durante el período de tiempo acordado entre las partes y de que estas cumplen sus obligaciones con exactitud y puntualidad.
La fórmula utilizada para obtener la equivalencia deberá hacerse explícita, ya sea directamente o por referencia al Boletín Oficial del Estado en que se publique la presente Circular, incluyendo las especificaciones que permitan su fácil localización.
En el caso de contratos de crédito al consumo y en los de financiación de ventas de bienes muebles a plazo sujetos a la Ley 50/1965, a los que sea aplicable el artículo 6.2 de la Ley 7/1995, con la expresión de la TAE se especificarán los elementos del coste que se integran en su cálculo.
11. Las entidades de crédito harán constar en los contratos de las operaciones citadas en el tercer guión de la letra b) del apartado 1 de la presente norma:
a.El importe, número y periodicidad o fecha de los pagos que el deudor deba realizar a la entidad para el reembolso del crédito y el pago de los intereses, comisiones y gastos repercutibles, así como el importe total de esos pagos, cuando sea posible. No será necesario incluir dicha información en las operaciones sin vencimiento o cuadro de amortización determinado. En las concertadas a tipo variable bastará incluir la información relativa al período en que se aplique el tipo de interés inicial; esa información se renovará con cada actualización del tipo.
b.Los elementos de coste, distintos de las comisiones y gastos repercutibles indicados en las letras c) y g) del apartado 6 precedente, que el cliente deba pagar en el marco de la relación contractual, incluso por su propio incumplimiento y de las condiciones en que sean exigibles; cuando no se conozca su importe, y si fuera posible, se facilitará un método de cálculo o una estimación lo más realista posible.
c.La necesidad de constitución, en su caso, de un seguro de amortización del crédito por fallecimiento, invalidez, enfermedad o desempleo del titular.
Asimismo, en los contratos de crédito en cuenta corriente con consumidores a que se refiere el artículo 19.1 de la Ley 7/1995, las entidades de crédito harán constar el límite del crédito, si lo hubiere, y el procedimiento para la resolución del contrato.
12. En la escritura pública de préstamos a los que se refiere la Orden sobre préstamos hipotecarios, figurarán las cláusulas financieras previstas en el anexo II de la misma, o las que, en los supuestos excepcionales a los que se refiere el artículo 6 de la Orden sobre préstamos hipotecarios, hayan sido verificadas favorablemente por la Dirección General del Tesoro y Política Financiera. Estas cláusulas se recogerán con el mismo orden contenido fijados en el citado anexo, y deberán estar debidamente separadas de las restantes cláusulas contractuales, sin que estas últimas puedan desvirtuar su contenido en perjuicio del prestatario. Dichas cláusula financieras sustituirán los requisitos de información previstos en los apartados 6 y 11 de esta norma.
La TAE a que se refiere el apartado 10 figurará en la cláusula financiera cuarta bis cuando los préstamos hipotecarios sean a tipo fijo. En los restantes préstamo hipotecarios a que se refiere la citada Orden, la TAE figurará, a efectos informativos, como anexo al contrato.
También se incluirá como anexo al contrato la tabla de pagos correspondientes al primer período de interés de los préstamos hipotecarios a tipo variable, o la cuota periódica si todas son idénticas. La revisión de esas relaciones de pagos para los sucesivos períodos de interés se comunicará al cliente junto con las actualizaciones del tipo para el período de que se trate, o con la primera notificación que se dirija al cliente cuando, en virtud de lo previsto en el apartado 8, no fuera necesario comunicar dichas actualizaciones.
13. En los créditos al consumo, a los que sea de aplicación lo dispuesto en el artículo 16 de la Ley 7/1995, las entidades de crédito estarán obligadas a entregar al consumidor, antes de la celebración del contrato, si este así lo solicita, un documento con todas las condiciones del crédito, como oferta vinculante, que deberá mantener durante un plazo mínimo de diez días hábiles desde su entrega, salvo que medien circunstancias extraordinarias o no imputables a ella. Dicha oferta podrá proporcionarse al cliente, cuando éste así lo haya solicitado, por medios electrónicos.
(Redacción según Circular número 3/2001, de 24 de septiembre, a Entidades de Crédito, que modifica la Circular 8/1990 de 7 de septiembre, sobre transparencia de las operaciones y protección de la clientela.)
14. Las Entidades de Crédito que realicen operaciones de transferencia que reúnan las características del artículo 1 de la Ley 9/1999, de 12 de abril, estarán obligadas, salvo que no deseen realizar la operación, a facilitar a sus clientes, cuando éstos lo soliciten, una oferta escrita o, cuando así lo haya solicitado el cliente, por vía electrónica, con las condiciones específicas aplicables a una orden de transferencia cuyo destino y divisa hayan sido precisados por el cliente, bajo el supuesto de que todos los gastos y comisiones son a su cargo, salvo que éste haya indicado otra forma de reparto, en cuyo caso la oferta se ajustará a la forma indicada por el cliente. Cuando dichas condiciones sean las recogidas en el folleto de tarifas, la oferta podrá sustituirse por la entrega del apartado del folleto de tarifas a que se refiere el anexo X.
(Redacción según Circular número 3/2001, de 24 de septiembre, a Entidades de Crédito, que modifica la Circular 8/1990 de 7 de septiembre, sobre transparencia de las operaciones y protección de la clientela.)
Entre las condiciones figurarán necesariamente el plazo para el abono de los fondos en la cuenta de la Entidad de Crédito del beneficiario y los gastos que correspondan al ordenante, con excepción de los relacionados con el tipo de cambio que aplique la Entidad, salvo que éste esté publicado de conformidad con lo previsto en la norma primera bis, en cuyo caso deberá hacerse remisión al publicado por la Entidad y, cuando todos los gastos sean a cargo del beneficiario, los que éste deba pagar a la Entidad.
La oferta será vinculante para la Entidad durante un plazo mínimo de cinco días hábiles desde la fecha de su entrega, salvo que se produzcan circunstancias extraordinarias no imputables a la Entidad.
Norma Sexta Bis. Préstamos hipotecarios.
1. En las subrogaciones de préstamos hipotecarios reguladas por la Ley 2/1994, de 30 de marzo:
a.La oferta vinculante a que se refiere el párrafo segundo del artículo 2 de dicha Ley se formulará por escrito, deberá ser firmada por representante de la entidad y, salvo que medien circunstancias extraordinarias o no imputables a la entidad, tendrá un plazo de validez no inferior a diez días hábiles desde su fecha de entrega. Dicha oferta especificará las condiciones financieras correspondientes a las cláusulas financieras que resulten de aplicación, de las recogidas en el anexo II de la Orden sobre préstamos hipotecarios. La oferta vinculante incluirá, cualquiera que sea la modalidad del tipo de interés, la tasa anual equivalente de la operación, calculada conforme a lo dispuesto en los apartados 2, 4.a) y 6 de la norma octava, si bien entre los conceptos de coste se incluirá, además, el importe estimado de la comisión de cancelación del préstamo objeto de subrogación.
Dicha oferta podrá proporcionarse al cliente, cuando éste así lo haya solicitado, por medios electrónicos.
(Redacción según Circular número 3/2001, de 24 de septiembre, a Entidades de Crédito, que modifica la Circular 8/1990 de 7 de septiembre, sobre transparencia de las operaciones y protección de la clientela.)
b.Con la oferta vinculante, las entidades financieras a que se refiere el párrafo anterior informarán al cliente del coste efectivo, correspondiente al período remanente, del préstamo en el que proyectan subrogarse. Este cálculo se realizará conforme a lo dispuesto en los mencionados apartados 2, 4.a) y 6 de la norma octava, si bien se tomarán en cuenta exclusivamente aquellos conceptos de coste que quedarían por pagar si la operación siguiera su curso normal.
2. Las entidades de crédito que otorguen préstamos sujetos a la Orden sobre préstamos hipotecarios deberán realizar las acciones a que se refieren los artículos 3, 4 y 5 de la misma, de acuerdo con las previsiones allí contenidas y con las siguientes especificaciones:
(Redacción según Circular número 3/2001, de 24 de septiembre, a Entidades de Crédito, que modifica la Circular 8/1990 de 7 de septiembre, sobre transparencia de las operaciones y protección de la clientela.)
a.El contenido mínimo del folleto informativo a que se refiere el artículo 3 de la Orden será el que figura en el anexo VII.
b.La entidad de crédito estará obligada a la devolución inmediata de las provisiones de fondos que, en su caso, se hubieran pactado para gastos preparatorios, en los términos previstos en el propio pacto o, en todo caso, cuando así lo solicite el cliente y hubiera transcurrido un mes desde la presentación de la solicitud, o desde que se hubiera completado la información requerida, sin que la entidad hubiera denegado el préstamo o efectuado la oferta vinculante a que se refiere el artículo 5 de la Orden. Si el cliente desistiese de su solicitud antes de transcurrido ese plazo, la entidad deberá devolver aquella parte de la provisión a que se hubiese comprometido o, como mínimo, la que no hubiese utilizado.
3. A efectos de lo previsto en la disposición adicional segunda de la Orden sobre préstamos hipotecarios, se consideran oficiales los siguientes índices o tipos de referencia, cuya definición y forma de cálculo se recoge en el anexo VIII:
(Redacción según Circular número 3/2001, de 24 de septiembre, a Entidades de Crédito, que modifica la Circular 8/1990 de 7 de septiembre, sobre transparencia de las operaciones y protección de la clientela.)
a.Tipo medio de los préstamos hipotecarios a más de tres años, para adquisición de vivienda libre, concedidos por los bancos.
b.Tipo medio de los préstamos hipotecarios a más de tres años, para adquisición de vivienda libre, concedidos por las cajas de ahorros.
c.Tipo medio de los préstamos hipotecarios a más de tres años, para adquisición de vivienda libre, concedidos por el conjunto de las entidades de crédito.
d.Tipo activo de referencia de las cajas de ahorros.
e.Tipo de rendimiento interno en el mercado secundario de la deuda pública de plazo entre dos y seis años.
f. Tipo interbancario a un año (MIBOR), exclusivamente para los préstamos hipotecarios formalizados con anterioridad al 1 de enero del año 2000.
(Redacción según Circular número 3/2001, de 24 de septiembre, a Entidades de Crédito, que modifica la Circular 8/1990 de 7 de septiembre, sobre transparencia de las operaciones y protección de la clientela.)
g.Referencia interbancaria a un año.
El Banco de España dará una difusión adecuada estos índices que, en todo caso, se publicarán, mensualmente, en el Boletín Oficial del Estado.
Norma Séptima. Documentos de liquidación de operaciones. (Redacción según Circular número 3/2001, de 24 de septiembre, a Entidades de Crédito, que modifica la Circular 8/1990 de 7 de septiembre, sobre transparencia de las operaciones y protección de la clientela.)
Las comunicaciones a los clientes previstas tanto en el número octavo de la Orden de 12 de diciembre de 1989, como en los artículos 4 y 6 de la Orden de 16 de noviembre de 2000, se ajustarán a las normas contenidas en el anexo VI de esta Circular.
En los casos en que la operación dé lugar únicamente a pagos periódicos prefijados, la entrega de los sucesivos documentos de liquidación podrá sustituirse por la inclusión en el contrato de una tabla con todos los pagos o amortizaciones, con sus respectivas fechas, así como con los demás datos previstos en el anexo citado, si perjuicio de la entrega de los justificantes de cada pago. En caso de modificación de cualquiera de los datos de la tabla deberá entregarse un nuevo documento íntegro que incorpore los nuevos datos.
Cuando se trate de préstamos a largo plazo con liquidaciones periódicas y de igual cuantía, los documentos de liquidación que correspondan a períodos inferiores al año podrán sustituirse por otro único de carácter anual que los resuma.
El documento de liquidación correspondiente a las transferencias con el exterior, cuyo contenido mínimo se describe en el número V del anexo VI, habrá de ser remitido a los clientes en el plazo máximo de cinco días hábiles desde la fecha de aceptación de una orden de transferencia o desde la de recepción en la cuenta de la Entidad de los fondos correspondientes a una recibida.
La renuncia al documento de liquidación, que únicamente cabrá en las transferencias reguladas en la Ley 9/1999, deberá figurar en un documento independiente de cualquier otro, debiendo conservar la Entidad constancia documental de la misma.
La remisión de los documentos de liquidación de operaciones que deban efectuarse al amparo de los párrafos anteriores podrá realizarse mediante su envío en soporte electrónico duradero cuando el cliente así lo solicite o cuando éste haya sido el procedimiento utilizado en la contratación y así esté previsto en el documento contractual.
En el caso de operaciones con valores reguladas por la Orden de 25 de octubre de 1995, la información a facilitar a los clientes se ajustará a lo establecido en la citada Orden y disposiciones que la desarrollen.
Norma Octava. Coste y rendimiento efectivos de las operaciones
1. El tipo de interés, coste o rendimiento efectivo deberán expresarse obligatoriamente en los documentos contractuales a que se refiere el apartado 1 de la norma sexta de esta Circular y en los siguientes casos:
a.Tipo de interés preferencial, y de descubiertos en cuenta corriente y excedidos en cuenta de crédito, a que se refiere el apartado 1 de la norma primera de esta circular.
b.Tipos de interés de referencia que se mencionan en el apartado 3 de la norma primera de esta circular.
c.Publicidad en que se haga referencia implícita o explícita a costes o rendimientos de operaciones bancarias.
d.Documentos de liquidación de operaciones activas o pasivas.
e.Oferta vinculante a que se refiere el artículo 16 de la Ley 7/1995 y el artículo 5 de la Orden sobre préstamos hipotecarios. Cuando los créditos o préstamos se realicen a tipo variable, dicho coste tendrá efectos informativos, y se hará seguir de la expresión: variará con las revisiones del tipo de interés.
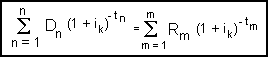
2. Para la confección y publicación del tipo de interés, coste o rendimiento efectivo a que se refiere el apartado anterior, las entidades deberán atenerse a las siguientes reglas, que se desarrollan matemáticamente mediante la fórmula contenida en el anexo V.
a.Los tipos de interés, costes o rendimientos se expresarán en tasas porcentuales anuales pagaderas a término vencido equivalentes.
b.La tasa porcentual equivalente es aquella que iguala en cualquier fecha el valor actual de los efectivos recibidos y entregados a lo largo de la operación, por todos los conceptos, incluido el saldo remanente a su término, con las excepciones e indicaciones que se recogen en los siguientes apartados.
3. En la publicación de los tipos mencionados en el apartado 1, letras a) y b) precedentes, el cálculo del tipo de interés efectivo no incluirá carga alguna por comisiones o gastos repercutibles, extremo que se señalará expresamente. En los descubiertos en cuenta corriente con consumidores a que se refiere el artículo 19.4 de la Ley 7/1995, se hará referencia expresa a la limitación contenida en esa norma.
En los descubiertos en cuenta corriente o excedidos en cuenta de crédito, los tipos de interés efectivos se calcularán aplicando el período de liquidación más corto entre los habitualmente practicados por la entidad en sus descubiertos o excedidos.
Los tipos publicados para los descubiertos en cuenta corriente, los excedidos en cuenta de crédito y los otros tipos de referencia podrán acompañarse también de los tipos nominales.
Los excedidos en cuenta de crédito podrán expresarse, alternativamente, como recargos sobre el tipo contractual del crédito, en cuyo caso se hará constar la palabra recargo.
4. En la información sobre el coste efectivo de las operaciones activas, se aplicarán las reglas siguientes:
a.En el cálculo del coste efectivo se incluirán las comisiones y demás gastos que el cliente este obligado a pagar a la entidad como contraprestación por el crédito recibido o los servicios inherentes al mismo. No se considerarán a estos efectos las comisiones o gastos que se indican a continuación, aún cuando debe quedar expresa y claramente indicado que la tasa anual equivalente no los incluye:
Los gastos que el cliente pueda evitar en uso de las facultades que le concede el contrato en particular, y, en su caso, los gastos por transferencia de los fondos debidos por el cliente.
Los gastos a abonar a terceros, en particular los corretajes, gastos notariales e impuestos.
Los gastos por seguros o garantías. No obstante, se incluirán las primas de los seguros que tengan por objeto garantizar a la entidad el reembolso del crédito en caso de fallecimiento, invalidez, o desempleo de la persona física que haya recibido el crédito, siempre que la entidad imponga dicho seguro como condición para conceder el crédito.
En aquellos casos en que la entidad reciba ayudas, subsidios o subvenciones de carácter público, solo se tendrán en cuenta para el cálculo de la tasa anual equivalente los importes efectivamente reintegrados por el beneficiario, de forma que aquellas subvenciones resulten excluidas de sus costes.
b.Las liquidaciones correspondientes a cualquier clase de morosidad (ya sean de cuotas de interés o de principal) se tratarán de forma independiente, con señalamiento de las variables a que se refiere la liquidación.
c.En la liquidación de las cuentas de crédito, las comisiones de apertura u otros gastos iniciales deberán distribuirse durante toda la vida contractual del crédito, y su integración como componente del coste efectivo anual se hará calculándolos sobre el límite del crédito, aunque no haya sido totalmente dispuesto. Si no se hubiese establecido plazo, se distribuirán en las liquidaciones de intereses correspondientes al primer año de vigencia.
No se incluirá en el coste la comisión que pueda cobrarse por disponibilidad, aún cuando tal circunstancia debe quedar expresamente señalada, con indicación del importe total a que dicha comisión se eleve.
En la documentación contractual relativa a estas operaciones, el coste efectivo a reflejar a efectos informativos se calculará bajo el supuesto de la disposición total del crédito a su concesión.
En la liquidación de estos créditos, los cálculos se efectuarán sobre los saldos medios efectivamente dispuestos. No se considerarán como disposiciones los cargos iniciales por comisiones y gastos.
d.En el descuento de papel comercial, el coste efectivo se complementará por cada factura liquidada como sigue:
Solo se integrará en el coste el importe de las comisiones que, por cada efecto, exceda de los mínimos tarifados por cada entidad. Esta circunstancia debe quedar expresamente señalada en la liquidación.
Los efectos a menos de 15 días no se entenderán descontados a estos fines, considerándose todos sus costes como inherentes al servicio de cobranza. Serán liquidados separadamente.
e.En las operaciones de arrendamiento financiero se considerará como efectivo recibido el importe del principal del crédito más el valor residual del bien. El importe, en su caso, de las fianzas recibidas se tendrá en cuenta como substraendo, a fin de establecer el efectivo puesto a disposición del cliente.
f.En las operaciones de factoring, en las que se preste, al menos, el servicio de administración, la tasa anual equivalente correspondiente a la financiación no incluirá las comisiones de factoraje. En el caso de que la financiación se instrumente como un descuento comercial, no se aplicarán las excepciones contenidas en la anterior letra d).
g.En el cálculo de la tasa anual equivalente exigible conforme a lo previsto en el apartado 10 de la norma sexta se aplicarán, cuando sea necesario, los siguientes supuestos:
En los contratos de crédito sin límite, se entenderá que el crédito concedido no es superior a 1.500 euros.
En los créditos sin vencimiento o cuadro de amortización determinado, se considerará que el crédito se reembolsa íntegramente al año de su concesión.
Cuando se estipulen diversas posibilidades para el reembolso de un crédito se utilizará la fecha más próxima de las previstas en el contrato.
5. En la información sobre el rendimiento efectivo de las operaciones pasivas, se aplicarán las reglas siguientes:
a.El cálculo del tipo de rendimiento efectivo se referirá a los importes brutos liquidados, sin tener en cuenta, en su caso, las deducciones por impuestos a cargo del perceptor, ni las ventajas fiscales por desgravaciones que puedan beneficiarle. La entidad podrá añadir, si lo considera conveniente, los tipos netos que puedan resultar para el cliente, teniendo en cuenta esas circunstancias fiscales.
b.Si durante el período de liquidación se hubiesen producido descubiertos, se procederá a efectuar la correspondiente separación de saldos medios de signos contrarios por los días que a cada uno correspondan, aplicándose a aquellos las normas sobre créditos en cuenta corriente.
c.En la documentación contractual y en las liquidaciones relativas a las cuentas corrientes a la vista o cuentas de ahorro, el cálculo de su rendimiento efectivo no incluirá los eventuales cargos que por comisiones o gastos puedan derivarse del servicio de caja vinculado a tales contratos.
d.En las cuentas corrientes y de ahorro con tipo de interés nominal igual o inferior al 2,5 %, las entidades podrán tomar como tipo de interés anual efectivo el propio nominal expresándolo así en los documentos contractuales y de liquidación.
6. En las operaciones a tipo de interés variable, el coste o rendimiento efectivo que se ha de reflejar en la documentación contractual se calculará bajo el supuesto teórico de que el tipo de referencia inicial permanece constante, durante toda la vida del crédito, en el último nivel conocido en el momento de celebración del contrato.
Si se pactara un tipo de interés fijo para cierto período inicial, se tendrá en cuenta en el cálculo, pero únicamente durante dicho período inicial. Excepcionalmente, si el tipo inicial se aplicará durante un plazo de diez años o más, o durante la mitad o más de la vida del contrato, aplicándose, al menos, durante tres años, en el cálculo del coste o rendimiento efectivo solo se tendrá en cuenta ese tipo inicial. Tal simplificación deberá advertirse adecuadamente.
7. En los documentos de liquidación de las operaciones activas que deben facilitarse periódicamente a los clientes, de conformidad con la norma séptima el coste efectivo se calculará tomando exclusivamente en cuenta el plazo pendiente de amortización y los conceptos de coste que queden por pagar si la operación sigue su curso normal. El coste efectivo así calculado se denominará coste efectivo remanente.
En las operaciones a tipo de interés variable, las modificaciones que experimenten los índices de referencia no se reflejarán en el coste efectivo remanente hasta tanto no afecten al tipo nominal de la operación.
Norma Novena. Publicidad. (Derogada por Circular 6/2010, de 28 de septiembre, del Banco de España, a entidades de crédito y entidades de pago, sobre publicidad de los servicios y productos bancarios.)
Norma Décima. Remisión de comunicaciones y documentos.
1. Las tarifas de comisiones y reglas de valoración y las comunicaciones y estados sobre tipos de interés, así como las solicitudes de autorización de publicidad reguladas por esta Circular, se dirigirán a la Oficina de Instituciones Financieras del Banco de España, que igualmente tramitará las dudas que puedan presentarse para una correcta interpretación de las normas del capítulo I de esta circular.
2. Todas las comunicaciones relativas a los contenidos descritos en el apartado anterior deberán presentarse suscritas por firma con poder bastante y con el sello de la entidad.
CAPÍTULO II. ORGANIZACIÓN Y FUNCIONAMIENTO DEL SERVICIO DE RECLAMACIONES.
Norma Undécima. (Derogada por Real Decreto 303/2004, de 20 de febrero, por el que se aprueba el Reglamento de los comisionados para la defensa del cliente de servicios financieros.)
Norma Duodécima. (Derogada por Real Decreto 303/2004, de 20 de febrero, por el que se aprueba el Reglamento de los comisionados para la defensa del cliente de servicios financieros.)
Norma Decimotercera. (Derogada por Real Decreto 303/2004, de 20 de febrero, por el que se aprueba el Reglamento de los comisionados para la defensa del cliente de servicios financieros.)
Norma Decimocuarta. (Derogada por Real Decreto 303/2004, de 20 de febrero, por el que se aprueba el Reglamento de los comisionados para la defensa del cliente de servicios financieros.)
Norma Decimoquinta. (Derogada por Real Decreto 303/2004, de 20 de febrero, por el que se aprueba el Reglamento de los comisionados para la defensa del cliente de servicios financieros.)
Norma Decimosexta. (Derogada por Real Decreto 303/2004, de 20 de febrero, por el que se aprueba el Reglamento de los comisionados para la defensa del cliente de servicios financieros.)
Norma Decimoséptima. (Derogada por Real Decreto 303/2004, de 20 de febrero, por el que se aprueba el Reglamento de los comisionados para la defensa del cliente de servicios financieros.)
Norma Decimoctava. (Derogada por Real Decreto 303/2004, de 20 de febrero, por el que se aprueba el Reglamento de los comisionados para la defensa del cliente de servicios financieros.)
Norma Decimonovena. (Derogada por Real Decreto 303/2004, de 20 de febrero, por el que se aprueba el Reglamento de los comisionados para la defensa del cliente de servicios financieros.)
Norma Vigésima. (Derogada por Real Decreto 303/2004, de 20 de febrero, por el que se aprueba el Reglamento de los comisionados para la defensa del cliente de servicios financieros.)
Norma Vigésima Primera. (Derogada por Real Decreto 303/2004, de 20 de febrero, por el que se aprueba el Reglamento de los comisionados para la defensa del cliente de servicios financieros.)
Norma Vigésima Segunda. (Derogada por Real Decreto 303/2004, de 20 de febrero, por el que se aprueba el Reglamento de los comisionados para la defensa del cliente de servicios financieros.)
Norma Vigésima Tercera. (Derogada por Real Decreto 303/2004, de 20 de febrero, por el que se aprueba el Reglamento de los comisionados para la defensa del cliente de servicios financieros.)
Norma Vigésima Cuarta. (Derogada por Real Decreto 303/2004, de 20 de febrero, por el que se aprueba el Reglamento de los comisionados para la defensa del cliente de servicios financieros.)
Norma Vigésima Quinta. (Derogada por Real Decreto 303/2004, de 20 de febrero, por el que se aprueba el Reglamento de los comisionados para la defensa del cliente de servicios financieros.)
Norma Vigésima Sexta. (Derogada por Real Decreto 303/2004, de 20 de febrero, por el que se aprueba el Reglamento de los comisionados para la defensa del cliente de servicios financieros.)
Norma Vigésima Séptima. (Derogada por Real Decreto 303/2004, de 20 de febrero, por el que se aprueba el Reglamento de los comisionados para la defensa del cliente de servicios financieros.)
NORMAS FINALES
Norma Vigésima Octava. Entrada en vigor y normas transitorias.
La presente Circular entrará en vigor el día de su publicación en el Boletín Oficial del Estado, sin perjuicio de las obligaciones derivadas directamente de la Orden, que tienen vigencia desde el día 1 de enero de 1990. No obstante lo anterior, se establecen las siguientes normas transitorias:
1.La entrega de documentos contractuales, que obligaba a las entidades de depósito desde el día 1 de marzo de 1969 en virtud de la normativa anterior, se aplicará por las entidades de crédito distintas de las de depósito a todas las operaciones que se formalicen a partir del día 1 de noviembre de 1990.
2.Antes del 1 de enero de 1993 todas las entidades de crédito deberán tener a disposición de quienes, a 1 de enero de 1990, fuesen titulares de operaciones de duración indeterminada de las previstas en el apartado 1 de la norma sexta de esta Circular, los correspondientes documentos contractuales, debiendo comunicar a los titulares su derecho a obtener dichos documentos. No obstante, si el cliente lo solicitara antes, deberá procederse a su entrega dentro de los treinta días siguientes a la solicitud.
3.Las entidades de crédito distintas de las de depósito no estarán obligadas a dar cumplimiento a lo dispuesto en las normas sexta y séptima de la presente Circular, hasta el 1 de noviembre de 1990.
4.Las normas de valoración contenidas en el anexo IV entrarán en vigor el 1 de enero de 1991, aplicándose hasta entonces las anteriormente vigentes.
5.
(Suprimido por Circular número 4/2002, de 25 de junio, Entidades de Crédito, sobre estadísticas de los tipos de interés que se aplican a los depósitos y a los créditos frente a los hogares y las sociedades no financieras.)
Norma Vigésima Novena. Normas complementarias. (Derogada por Circular 1/2009, de 18 de diciembre, del Banco de España, a entidades de crédito y otras supervisadas, en relación con la información sobre la estructura de capital y cuotas participativas de las entidades de crédito, y sobre sus oficinas, así como sobre los altos cargos de las entidades supervisadas.)
Norma Trigésima. Derogaciones.
A la entrada en vigor de la presente quedarán derogadas las circulares siguientes:
Número 7, de 17 de diciembre de 1973, a las cajas de ahorros, sobre publicidad.
Número 7, de 17 de diciembre de 1973, a las cooperativas de crédito, sobre publicidad.
24/1987, de 21 de Julio. Organización y funcionamiento del Servicio de Reclamaciones.
15/1988 de 5 de diciembre. Entidades de depósito, tipos de interés, comisiones y normas de actuación con la clientela.
16/1988, de 29 de diciembre. Entidades de depósito. Entrada en vigor de la circular 15/1988, de 5 de diciembre.
Disposición transitoria.
1. Durante el período transitorio a que se refiere el artículo 12 de la Ley 46/1998, de 17 de diciembre sobre Introducción del Euro, es decir, hasta el 31 de diciembre de 2001, serán aplicables las siguientes previsiones:
a.Gratuidad de ciertas operaciones
i.Según lo dispuesto en los artículos 14.3, 15.2 y 16.7 de la Ley de Introducción del Euro, serán gratuitas las siguientes operaciones bancarias:
La conversión a euros o pesetas de los ingresos y de los pagos realizados, en territorio nacional, en pesetas o en euros respectivamente.
La redenominación a euros de las cuentas de efectivo en pesetas y de los medios de disposición de las mismas.
La redenominación a euros de la Deuda del Estado, que lleven a cabo las entidades Gestoras del Mercado de Deuda Pública en Anotaciones de los saldos nominales de cada uno de sus comitentes, así como la emisión y entrega de los nuevos resguardos de formalización, en que los saldos aparecerán expresados en euros.
ii.En las operaciones o servicios bancarios que lleven aparejada la conversión entre unidades monetarias nacionales integradas en el euro, no procederá la aplicación de una comisión de cambio de moneda; ello, sin perjuicio de las comisiones que, en su caso, correspondiera aplicar por otros servicios vinculados al cambio, o repercusión de otros gastos.
b.Folleto de tarifas
En el folleto general y en los folletos parciales las comisiones cifradas en importes monetarios se expresarán en euros y en pesetas.
En el apartado de condiciones generales del folleto se hará constar la gratuidad de las operaciones que se mencionan en la letra a anterior.
Según lo previsto en el artículo 14.5 de la Ley de Introducción del Euro, las comisiones aplicables por operaciones o servicios bancarios en euros serán idénticas a las aplicadas a esas mismas operaciones o servicios cuando se realicen en pesetas.
La identidad se obtendrá por la aplicación del tipo de conversión a que se refiere el artículo 2.2 de la Ley de Introducción del Euro y las reglas de redondeo que figuran en el artículo 11 de esa misma norma.
c.Publicación de tipos de cambio y tablón de anuncios.
Los tipos de cambio y las comisiones a que se refiere la norma primera bis, cuando estén cifradas en importes monetarios, se publicarán tanto en euros como en pesetas.
Junto con la información mencionada en la letra h del apartado 1 de la norma quinta se incluirá una referencia a la gratuidad de las operaciones mencionadas en la letra 1.a.i de la presente disposición.
d.Normas de valoración y documentos de liquidación.
En las operaciones o servicios bancarios que lleven aparejada la conversión entre unidades monetarias nacionales integradas en el euro no resultarán aplicables los desfases en la fecha de valoración previstos para las compraventas de divisas.
Los documentos de liquidación correspondientes a esas mismas operaciones indicarán los tipos de conversión aplicados, además de la restante información que se especifica en el anexo VI.
e.Equivalencia de importes en euros
Los importes en euros recogidos en los apartados 1 y 2 de la norma primera bis, en el primer inciso de la letra b del apartado 1 de la norma sexta, y en el primer guión del apartado 4.g de la norma octava, se entenderán igualmente referidos a su equivalente en pesetas.
2. Las entidades de crédito dispondrán de un plazo de seis meses para adaptar sus folletos de tarifas a las modificaciones previstas en el apartado 1 anterior.
Cuando las modificaciones del folleto de tarifas, y de los folletos parciales, recojan exclusivamente las adaptaciones a las que se refiere el párrafo anterior, en la remisión al Banco de España para su comprobación se hará constar expresamente esta circunstancia. En este caso, los folletos se entenderán conformes cuando hayan transcurrido ocho días desde su recepción en el Banco de España, sin que éste hubiera efectuado alguna manifestación expresa, objeción o recomendación al respecto.
Madrid, 7 de septiembre de 1990.
El Gobernador,
Mariano Rubio.
ANEXO I. Declaración obligatoria de tipos de operaciones activas.
ANEXO II. (Redacción según Circular número 4/2002, de 25 de junio, Entidades de Crédito, sobre estadísticas de los tipos de interés que se aplican a los depósitos y a los créditos frente a los hogares y las sociedades no financieras.)
ANEXO II BIS. Importe de las operaciones de crédito en pesetas en España con el sector privado residente.(Suprimido por Circular número 4/2002, de 25 de junio, Entidades de Crédito, sobre estadísticas de los tipos de interés que se aplican a los depósitos y a los créditos frente a los hogares y las sociedades no financieras.) (Incorporado por Circular 4/1998, de 27 de enero, del Banco de España, a entidades de crédito y establecimientos de cambio de moneda extranjera, que modifica las Circulares 8/1990, de 7 de septiembre, sobre transparencia de las operaciones y proteccion de la clientela, y 8/1992, de 24 de abril, de cambio de moneda extranjera en establecimientos abiertos al publico.)
ANEXO III. Tipos de interés de los depósitos en pesetas. (Suprimido por Circular número 4/2002, de 25 de junio, Entidades de Crédito, sobre estadísticas de los tipos de interés que se aplican a los depósitos y a los créditos frente a los hogares y las sociedades no financieras.)
ANEXO III BIS. Importe de los depósitos en pesetas. (Suprimido por Circular número 4/2002, de 25 de junio, Entidades de Crédito, sobre estadísticas de los tipos de interés que se aplican a los depósitos y a los créditos frente a los hogares y las sociedades no financieras.) (Incorporado por Circular 4/1998, de 27 de enero, del Banco de España, a entidades de crédito y establecimientos de cambio de moneda extranjera, que modifica las Circulares 8/1990, de 7 de septiembre, sobre transparencia de las operaciones y proteccion de la clientela, y 8/1992, de 24 de abril, de cambio de moneda extranjera en establecimientos abiertos al publico.)
ANEXO IV. Límites sobre valoración de cargos y abonos en cuentas activas y pasivas, en cuentas corrientes, de crédito y libretas de ahorro.
Adeudos.
Clase de operaciones Fecha de valoración a efectos del devengo de intereses
1. Cheques
1.1 Pagados por ventanilla o por compensación interior en la oficina librada. El mismo día de su pago.
1.2 Pagados en firme por otras oficinas o entidades. El mismo día de su pago, a cuyo efecto la oficina pagadora estampará su sello con indicación de la fecha de pago. Si faltase este requisito se adeudará con valor del día de su cargo en cuenta.
1.3 Tomados al cobro por otras oficinas o entidades. El mismo día de su adeudo en la cuenta librada.
2. Reintegros o disposiciones El mismo día de su pago.
3. Órdenes de transferencia, órdenes de entrega y similares El mismo día de su adeudo.
(Redacción según Circular número 3/2001, de 24 de septiembre, a Entidades de Crédito, que modifica la Circular 8/1990 de 7 de septiembre, sobre transparencia de las operaciones y protección de la clientela.)
4. Efectos devueltos.
4.1 Efectos descontados. El día de su vencimiento.
4.2 Cheques devueltos. El mismo de valoracion que se dió al abonarlos en cuenta.
5. Recibos de carácter periódico cuyo adeudo en cuenta ha autorizado previamente el deudor.
5.1 A cargo del deudor. Fecha del adeudo.
5.2 Devolución al cedente. La valoración aplicada en el abono.
6. Compra de divisas El mismo día de la entrega de las divisas.
7. Compra de valores. El mismo día de la compra en bolsa.
8. Efectos domiciliados. Los efectos cuyo pago se domicilie en una Entidad de Depósito, tanto en el propio efecto como en el aviso de cobro, serán adeudados en la cuenta del librado con valor día del vencimiento, tanto si proceden de la propia cartera de la Entidad domiciliada como si le han sido presentado por otras Entidades a través de cualquier sistema de compensación o de una cuenta interbancaria (1).
(Redacción según Circular número 3/2001, de 24 de septiembre, a Entidades de Crédito, que modifica la Circular 8/1990 de 7 de septiembre, sobre transparencia de las operaciones y protección de la clientela.)
9. Derivados de tarjetas de crédito y similares. Según el contrato de adhesión.
10. Otras operaciones. Véase nota (a)
(1) Siempre que los efectos se presenten al cobro en los plazos establecidos en la Ley 19/1985, de 16 de julio, Cambiaria y del Cheque. En caso contrario, el mismo día de su adeudo en la cuenta del librado.
Abonos
Clase de operaciones Fecha de valoración a efectos del devengo de intereses
1. Entregas en efectivo
1.1 Realizadas antes de las 11 de la mañana El mismo día de la entrega
1.2 Las demás El día hábil siguiente a la entrega
2. Entregas mediante cheques, etc.
2.1 A cargo de la propia entidad (sobre cualquier oficina) El mismo día de la entrega
2.2 A cargo de otras entidades (1) Segundo día hábil siguiente a la entrega
3. Transferencias bancarias, órdenes de entrega y similares
3.1 Ordenadas en la propia Entidad en España El mismo día de su adeudo al ordenante.
(Redacción según Circular número 3/2001, de 24 de septiembre, a Entidades de Crédito, que modifica la Circular 8/1990 de 7 de septiembre, sobre transparencia de las operaciones y protección de la clientela.)
3.2 Ordenadas en otras Entidades en España El segundo día hábil siguiente a su adeudo al ordenante (2).
(Redacción según Circular número 3/2001, de 24 de septiembre, a Entidades de Crédito, que modifica la Circular 8/1990 de 7 de septiembre, sobre transparencia de las operaciones y protección de la clientela.)
4. Descuentos de efectos Fecha en la que comienza el cálculo de intereses (3)
5. Presentación de recibos de carácter periódico, cuyo adeudo en cuenta ha autorizado previamente el deudor El mismo día del adeudo
6. Venta de divisas El día hábil siguiente al de la cesión de las divisas
7. Venta de valores El día hábil siguiente a la fecha de venta en Bolsa
8. Abono de dividendos, intereses y títulos amortizados de valores depositados El mismo día del abono
9. En cuentas de tarjetas de crédito, de garantía de cheques y similares El mismo día
10. Otras operaciones Véase nota (a)
(1) Incluido el Banco de España.
(2) A cuyo efecto esta fecha deberá constar en la información referente a la transferencia.
(3) En el cálculo de intereses no se incluirá el día del vencimiento del efecto.
NOTAS:
(a) En todas las demás operaciones no contempladas expresamente los adeudos y abonos se valorarán el mismo día en que se efectúe el apunte, si no se produce movimiento de fondos fuera de la entidad. En caso contrario, los abonos se valorarán el día hábil siguiente a la fecha del apunte.
(b) La consideración de los sábados como días hábiles o inhábiles deberá estar en función de la clase de operación de que se trate. Si su formalización hubiese de retrasarse por imperativos ajenos a la entidad (pagos a Hacienda, operaciones en Bolsa, Cámara de Compensación, etc.) será día inhábil. En los restantes casos, en que la operación pueda formalizarse en el día, será considerado hábil.
(c) En el caso de compra o venta de divisas habrá de tenerse en cuenta, además, la valoración dada a la compraventa propiamente dicha
ANEXO V. Cálculo de las tasas de coste o rentabilidad de operaciones
La equivalencia financiera a que se refiere el apartado 2 de la norma octava de esta circular tiene la siguiente expresión matemática.
Siendo:
D = Disposiciones.
R = Pagos por amortización, intereses u otros gastos incluidos en el coste o rendimiento efectivo de la operación.
N = Número de entregas.
M = Número de los pagos simbolizados por R.
Tn = Tiempo transcurrido desde la fecha de equivalencia elegida hasta la de la disposición n.
Tm = Tiempo transcurrido desde la fecha de equivalencia elegida hasta la del pago m.
Ik = Tanto por uno efectivo referido al período de tiempo elegido para expresar los tn y tm en números enteros.
Por su parte, el tipo anual equivalente i (TAE) a que se refiere la indicada norma octava:
i = (1 + ik)k - 1
siendo k el número de veces que el año contiene el período elegido.
ANEXO VI. Comunicaciones a clientes de las liquidaciones de intereses y comisiones.
Los documentos que las Entidades de Crédito vienen obligadas a facilitar a sus clientes en las liquidaciones que practiquen por sus operaciones activas, pasivas y de servicios de conformidad con lo previsto en el número octavo de la Orden, así como en los artículos 4 y 6 de la Orden de 16 de noviembre de 2000, se ajustarán a las siguientes normas:
(Redacción según Circular número 3/2001, de 24 de septiembre, a Entidades de Crédito, que modifica la Circular 8/1990 de 7 de septiembre, sobre transparencia de las operaciones y protección de la clientela.)
I. Operaciones Pasivas.
I.1. Cuentas corrientes
La comunicación de abono de intereses contendrá al menos, los siguientes datos:
Período a que se refiere el abono, con indicación de fecha inicial y final.
Tipo de interés contractual aplicado.
Suma de los números comerciales, o saldo medio por valoración de período.
Importe de los intereses que resultan.
Impuestos retenidos, con expresión del tipo y base de cálculo.
En caso de que se modifique el tipo de interés en el período de liquidación, se indicarán por separado los números comerciales y/o intereses que correspondan a cada uno de los tipos aplicados.
Notas
Cuando se presenten descubiertos en cuenta, la justificación de los intereses deudores, y en su caso de las comisiones liquidadas, se hará de igual forma que la que se señala para las cuentas corrientes de crédito entre las operaciones activas.
En caso de cobro de comisiones por servicio de tesorería o de administración en las cuentas corrientes abiertas a clientela, el total cobrado por tal concepto se indicará de forma expresa en cada liquidación de intereses. En caso de que la cuenta no sea remunerada, la información del adeudo por comisiones se hará con la misma periodicidad con que se practiquen las demás liquidaciones de intereses.
Las entidades de depósito entregarán a sus clientes extractos de cuenta, con la periodicidad que convenga, según el movimiento de las cuentas. La entrega de extractos mensuales o por plazos superiores será, en todo caso, gratuita. Los extractos de cuenta comprenderán, como mínimo, los siguientes datos:
Fecha de movimiento.
Concepto de la operación.
Importe con su signo.
Fecha valor.
Saldo extracto anterior.
Saldo resultante del nuevo.
I.2. Cuentas de ahorro.
La comunicación de la liquidación y abono de intereses será similar a la que se señala para las cuentas corrientes.
I.3. Imposiciones a plazo y certificados de depósito y otros depósitos con intereses pospagables.
Cada liquidación se comunicará al cliente mediante carta de abono en cuenta con indicación de la misma, o, en su caso, poniendo a su disposición el importe de la liquidación. En dichas comunicaciones deberá consignarse:
Clase de depósito.
Fecha de constitución.
Plazo.
Importe.
Período a que corresponde la liquidación, con indicación de fecha inicial y final.
Tipo de interés contractual aplicado.
Importe de los intereses que resultan.
Impuestos retenidos con expresión del tipo y base de cálculo.
I.4. Pagarés y efectos de propia financiación y otros recursos tomados a descuento.
En el momento de la cesión de estos efectos se comunicará al cliente:
Fecha de formalización.
Vencimiento de la operación.
Importe entregado por el cliente.
Tipo de descuento contractual aplicado.
Tipo de interés (anual) equivalente.
Importe nominal a pagar.
En los efectos con retención en origen, figurarán también los impuestos retenidos, con expresión del tipo y base de cálculo.
II. Operaciones Activas.
II.1. Cuentas corrientes de crédito.
En la comunicación de liquidación se hará constar al menos:
INTERESES
Principal o límite de la cuenta en el período de liquidación y vencimiento.
Período a que corresponde la liquidación, con indicación de fecha inicial y final.
Tipo de interés contractual aplicado.
Suma de los números comerciales si el cálculo se hace por este procedimiento o saldo medio por valoración del período.
Importe de los intereses que resultan.
En caso de que se modifique el tipo de interés en el período de liquidación o se produzcan excedidos en el débito sobre el principal o límite de la cuenta, se indicarán por separado los intereses y, en su caso, los números comerciales que correspondan a cada uno de los tipos de interés aplicados.
COMISIONES Y GASTOS SUPLIDOS
Las aplicadas según las tarifas publicadas por cada entidad, especificando concepto, magnitud base, tipo e importe en cada caso.
LIQUIDACIÓN Y CIERRE DEL PERÍODO
Saldo antes de la liquidación.
Total intereses, comisiones y gastos suplidos.
Impuestos liquidados, en su caso, con expresión de tipo aplicado y base de cálculo.
Saldo nuevo.
Notas
Si se producen intereses acreedores por existencia de saldos disponibles superiores al principal o límite de la cuenta, estos se justificarán, en forma semejante a la prevista para las cuentas corrientes en el epígrafe Operaciones pasivas.
En todo caso, se acompañará el extracto, con la periodicidad que convenga, según el movimiento de las cuentas, que comprenderá, como mínimo, los siguientes datos:
Fecha de movimiento.
Concepto de la operación.
Importe con su signo.
Fecha valor.
Saldo extracto anterior.
Saldo resultante del nuevo.
II.2. Préstamos con cuotas periódicas y operaciones de arrendamiento financiero
En la comunicación de amortización y liquidación de intereses o cargas financieras (cobro periódico de la cuota) se hará constar al menos:
INTERESES.
Saldo deudor sobre el que se aplique la liquidación.
Período a que corresponda la liquidación, con indicación de fecha inicial y final.
Tipo de interés contractual aplicado (con detalle, en el caso de créditos a interés variable, del tipo de referencia y diferenciales aplicados).
Importe de la cuota.
Importe de los intereses o cargas financieras que resulten.
Importe de la amortización.
Impuestos liquidados, en su caso, con expresión del tipo y base de cálculo.
Nuevo saldo pendiente.
Si durante el período de liquidación experimentara variación el tipo de interés, se consignarán por separado los períodos de liquidación de cada uno de los tipos aplicados e importe de los intereses resultantes. Se podrán exceptuar los períodos inferiores a un mes, por los que se podrá hacer una liquidación mensual con el tipo medio ponderado que resulte, si bien deberá hacerse mención de esta circunstancia, señalándose los tipos extremos aplicados.
COMISIONES Y GASTOS SUPLIDOS
Los aplicados según las tarifas publicadas por cada entidad, especificando concepto, magnitud base, tipo e importe en cada caso.
II.3. Descuentos financieros (incluyendo pólizas liquidadas al descuento)
En a liquidación deberá figurar al menos:
INTERESES
Nominal.
Vencimiento.
Días de descuento.
Tipo de descuento contractual aplicado.
Tipo de interés (anual) equivalente.
Importe de los intereses que resultan.
Impuestos liquidados, en su caso, con expresión del tipo y base de cálculo.
COMISIONES Y GASTOS SUPLIDOS
Los aplicados según las tarifas publicadas por cada entidad, especificando concepto, magnitud base, tipo e importe en cada caso.
Nota
La liquidación podrá realizarse en la fecha de abono inicial del nominal o en fecha posterior como apunte independiente.
II.4. Descuentos comerciales.
Igual que en los descuentos financieros, indicando la fecha desde la que se calculan intereses, en caso de previo abono del nominal del efecto.
Las liquidaciones se podrán practicar por facturas que comprendan los efectos descontados en una misma fecha. Los efectos de plazo inferior a 15 días a los que se les aplique lo dispuesto en el apartado 4.d de la norma octava serán liquidados separadamente. En caso de que se calculen distintos tipos de interés a los efectos de una misma factura, se separarán los números e intereses correspondientes a un mismo tipo.
II.5. Financiaciones en operaciones de factoring.
Para su liquidación se aplicarán las reglas que corresponden con arreglo al presente anexo, según la instrumentación y forma de pago de la financiación concedida.
III. Avales.
Se expresará el tipo de comisión aplicado, período, base sobre la que se calcula el importe resultante, así como, en su caso, impuestos retenidos, con expresión del tipo y base de cálculo.
IV. Transacciones efectuadas mediante tarjetas de crédito y débito
La comunicación de dichas transacciones, con la periodicidad convenida contractualmente, indicará al menos, de forma fácilmente comprensible, los siguientes extremos:
Datos de referencia suficientes para identificar la transacción y, en su caso, a la persona o entidad que haya aceptado el pago y, en el caso de operaciones realizadas fuera de España, el lugar de aceptación de dicho pago.
La fecha de la transacción y el importe cargado en la cuenta en la moneda de esta y, en su caso, en el de la moneda extranjera de que se trate.
En su caso, los tipos de cambio aplicados según las condiciones contractuales.
Las comisiones aplicadas y los gastos repercutidos.
La fecha valor aplicada a las transacciones y cargas.
En el caso de las tarjetas de débito, esta información podrá figurar, con detalle equivalente, en los extractos de la cuenta a que esté vinculada.
V. Transferencias.
(Redacción según Circular número 3/2001, de 24 de septiembre, a Entidades de Crédito, que modifica la Circular 8/1990 de 7 de septiembre, sobre transparencia de las operaciones y protección de la clientela.)
Las Entidades facilitarán a sus clientes un documento de liquidación que contendrá, al menos, los siguientes datos:
1.Transferencias ordenadas:
Número de referencia de la transferencia.
Nombre o denominación social del ordenante y, en su caso, número de su cuenta.
Nombre o denominación social del beneficiario.
Entidad de Crédito en que debe abonarse el importe.
Cuenta del beneficiario en que deba abonarse el importe transferido o indicación de la forma de pago pactada.
Fecha de la aceptación de la transferencia.
Fecha valor, cuando el importe se adeude en cuenta.
Importe de la transferencia ordenada expresada en la divisa entregada por el ordenante o adeudada en su cuenta.
Cuando el importe deba transferirse en divisa distinta, tipo de cambio aplicado e importe de la transferencia expresada en la divisa a transferir.
Indicación de los criterios de distribución entre ordenante y beneficiario de las comisiones y gastos repercutibles causados por la transferencia.
Comisiones y gastos cargados al ordenante o, en su caso, los retenidos del importe de la transferencia para su cargo al beneficiario.
Concepto de la transferencia indicado por el cliente.
2.Transferencias recibidas:
Número de referencia de la transferencia en la Entidad del beneficiario y, si se conoce, el de referencia en la Entidad de Crédito del ordenante.
Importe original de la transferencia. Para las transferencias no reguladas por la Ley 9/1999, en caso de desconocerse el importe original, se deberá informar del importe abonado en la cuenta de la Entidad, indicándose también dicha circunstancia.
Nombre o denominación social del ordenante.
Entidad de Crédito del ordenante. En caso de que se desconozca aquélla, este extremo deberá ser indicado, así como el nombre de la Entidad de Crédito intermediaria de la que se hayan recibido los fondos y, si se dispone de él, el número de referencia de la transferencia en dicha Entidad.
Fecha de recepción del importe de la transferencia en la cuenta de la Entidad.
Nombre o denominación social del beneficiario y número de cuenta de abono o indicación de la forma de pago.
En su caso, fecha de abono del importe de la transferencia en la cuenta del cliente, y fecha valor de dicho abono.
Indicación de los criterios de distribución de las comisiones y gastos.
Si como consecuencia de los criterios de distribución anteriores, hubiera de cargarse alguna comisión y/o gasto al beneficiario: Importe de los que correspondan a la Entidad.
Tipo de cambio aplicado por la Entidad, cuando el abono deba producirse en divisa distinta de la recibida por la Entidad.
Importe abonado al beneficiario.
Concepto de la transferencia indicado por el ordenante, cuando se disponga de tal dato.
VI. Comisiones y gastos suplidos por servicios.
En las comunicaciones que se faciliten a clientes se hará constar en cada caso el concepto de la comisión, tipo y base de cálculo, e importe; y, en su caso, período a que corresponde la liquidación. Cuando se trate de percepciones fijas, se consignarán estas y el detalle de los conceptos que las originan.
Cuando se carguen gastos suplidos, deberá indicarse, con la máxima claridad, su naturaleza e importe y, en su caso, los impuestos retenidos, con expresión del tipo y base de cálculo.
ANEXO VII. Folleto informativo sobre préstamos hipotecarios sujetos a la Orden del Ministerio de la Presidencia de 5 de mayo de 1994.
Elementos mínimos que contendrán los folletos sobre los préstamos hipotecarios a que se refiere el artículo 1 de la Orden sobre préstamos hipotecarios.
Salvo lo dispuesto sobre comisiones en la Orden y en la presente circular, y lo establecido en el artículo 4.1 de la Orden sobre préstamos hipotecarios, las restantes condiciones de este folleto tienen carácter orientativo y no vinculan a la entidad.
1. Identificación del préstamo.
Contendrá los siguientes datos:
Denominación comercial.
Cuantía máxima del préstamo respecto al valor de tasación del inmueble hipotecado.
Moneda del préstamo, cuando sea distinta de la peseta.
2. Plazos.
Plazo total del préstamo.
Plazo de carencia de amortización del principal.
Periodicidad de los pagos (mensual/trimestral/semestral/anual/otros) y sistema de amortización del principal (creciente/constante/decreciente/otros).
3. Tipo de interés.
Modalidad de tipo de interés (fijo/variable).
Tipo de interés nominal aplicable (indicación orientativa, mediante un intervalo, del tipo de interés nominal anual cuando los préstamos sean a tipo fijo, o del margen sobre el índice de referencia, en caso de préstamos a tipo variable).
Índice o tipo de referencia, en préstamos a interés variable (identificación del índice o tipo, especificando si se trata o no de un índice de referencia oficial; último valor disponible y evolución durante, al menos, los dos últimos años naturales).
Plazo de revisión del tipo de interés (primera revisión y periodicidad de las sucesivas revisiones).
Tasa anual equivalente, con indicación del intervalo en el que razonablemente pueda moverse. En los préstamos a tipo variable se acompañará de la expresión Variará con las revisiones del tipo de interés.
4. Comisiones.
Se indicarán cada una de las que resulten aplicables, el último nivel comunicado al Banco de España para cada una de ellas, su carácter máximo y, optativamente los menores previsiblemente aplicables:
Comisión de apertura.
Cantidad o porcentaje que, en caso de amortización anticipada, deberá satisfacer el prestatario a la entidad prestamista, distinguiendo, en su caso, entre amortización parcial y total.
Otras comisiones.
5. Gastos a cargo del prestatario.
De conformidad con lo previsto en el artículo 40 del Real Decreto-ley 6/2000, de 23 de junio, de Medidas Urgentes de Intensificación de la Competencia en Mercados de Bienes y Servicios, se hará constar, expresamente, el derecho que asiste al cliente de proponer, y elegir de mutuo acuerdo con el prestamista, la persona o Entidad que vaya a llevar a cabo la tasación del inmueble objeto de la hipoteca, la que se vaya a encargar de la gestión administrativa de la operación, así como la Entidad aseguradora que, en su caso, vaya a cubrir las contingencias que la Entidad prestamista exija para la formalización del préstamo. Igualmente se hará constar que para la designación del Notario ante el que se vaya a otorgar la correspondiente escritura pública, se estará a lo dispuesto en la legislación notarial.
Servicios prestados por la propia entidad de crédito o concertados por ella con terceros, por cuenta del cliente:
Se indicarán los conceptos aplicables, cuantificando de forma orientativa cada uno de ellos.
Cuando los servicios no sean prestados por la entidad y se facilite al cliente una selección de profesionales o entidades susceptibles de prestarlos que incluya un número de ellos igual o inferior a tres, se facilitarán las tarifas aplicables por cada uno de ellos.
Se indicarán los gastos que serán a cargo del cliente, aún cuando el préstamo no llegue a formalizarse.
Se señalará la forma y el momento en que los gastos se cobrarán o repercutirán al cliente.
Servicios que deben ser contratados y abonados directa y obligatoriamente por el cliente (conceptos aplicables e importe previsible de cada uno de ellos).
Provisiones de fondos requeridas: régimen de aportaciones y momento en que deberán realizarse.
Impuestos y aranceles (indicación de los conceptos aplicables y, de forma aproximada para cada uno de ellos, su base imponible y el tipo porcentual aplicable).
6. Importe de las cuotas periódicas.
Se proporcionará al solicitante, a título orientativo, una tabla de cuotas periódicas, en función del plazo y tipo de interés.
ANEXO VIII. Tipos de referencia oficiales del mercado hipotecario: Definición y fórmula de cálculo.
1. Tipo medio de los préstamos hipotecarios, a más de tres años, de bancos.
Se define como la media simple de los tipos de interés medios ponderados por los principales de las operaciones de préstamo con garantía hipotecaria de plazo igual o superior a tres años, para adquisición de vivienda libre, que hayan sido iniciadas o renovadas por el conjunto de bancos en el mes al que se refiere el índice.
Dichos tipos de interés medios ponderados serán los tipos anuales equivalentes declarados al Banco de España para esos plazos por el colectivo de bancos, de acuerdo con la norma segunda.
La fórmula de cálculo de dicho tipo será:
Siendo:
Ib = La media de tipos de interés medios ponderados del conjunto de bancos.
ib = El tipo medio ponderado de los préstamos de cada banco.
nb = El número de bancos declarantes.
2. Tipo medio de los préstamos hipotecarios, a más de tres años, de cajas de ahorros.
Se define como la media simple de los tipos de interés medios ponderados por los principales de las operaciones de préstamo con garantía hipotecaria de plazo igual o superior a tres años, para adquisición de vivienda libre, que hayan sido iniciadas o renovadas por el conjunto de cajas de ahorros en el mes al que se refiere el índice.
Dichos tipos de interés medios ponderados serán los tipos anuales equivalentes declarados al Banco de España para esos plazos por el colectivo de cajas, de acuerdo con la norma segunda.
La fórmula de cálculo de dicho tipo será:
Siendo:
Ica = La media de tipos de interés medios ponderados del conjunto de cajas de ahorros.
ica = El tipo medio ponderado de los préstamos de cada caja.
nca = El número de cajas declarantes.
3. Tipo medio de los préstamos hipotecarios, a más de tres años, del conjunto de entidades.
Se define como la media simple de los tipos de interés medios ponderados por los principales de las operaciones de préstamo con garantía hipotecaria de plazo igual o superior a tres años, para adquisición de vivienda libre, que hayan sido iniciadas o renovadas por los bancos, las cajas de ahorros y las sociedades de crédito hipotecario
(Referencia a sociedades de crédito hipotecario suprimida por Circular número 4/2002, de 25 de junio, Entidades de Crédito, sobre estadísticas de los tipos de interés que se aplican a los depósitos y a los créditos frente a los hogares y las sociedades no financieras.) en el mes a que se refiere el índice.
Dichos tipos de interés medios ponderados serán los tipos anuales equivalentes declarados al Banco de España para esos plazos por el colectivo de bancos, cajas de ahorros y sociedades de crédito hipotecario
(Referencia a sociedades de crédito hipotecario suprimida por Circular número 4/2002, de 25 de junio, Entidades de Crédito, sobre estadísticas de los tipos de interés que se aplican a los depósitos y a los créditos frente a los hogares y las sociedades no financieras.) , de acuerdo con la norma segunda.
La fórmula de cálculo de dicho tipo será:
Siendo:
Ic= La media de los tipos de interés medios ponderados del conjunto de entidades.
ib, ica e isch = Los tipos de interés medios ponderados de los préstamos de cada banco, caja de ahorros y sociedad de crédito hipotecario
(Referencia a sociedades de crédito hipotecario suprimida por Circular número 4/2002, de 25 de junio, Entidades de Crédito, sobre estadísticas de los tipos de interés que se aplican a los depósitos y a los créditos frente a los hogares y las sociedades no financieras.), respectivamente.
nb, nca y nsch = El número de bancos, cajas de ahorros y sociedades de crédito hipotecario
(Referencia a sociedades de crédito hipotecario suprimida por Circular número 4/2002, de 25 de junio, Entidades de Crédito, sobre estadísticas de los tipos de interés que se aplican a los depósitos y a los créditos frente a los hogares y las sociedades no financieras.) declarantes.
4. Tipo activo de referencia de las cajas de ahorros (también conocido como Indicador CECA, tipo activo).
Se define como el 90 %, redondeado a octavos de punto, de la media simple correspondiente a la media aritmética eliminando los valores extremos de los préstamos personales formalizados mensualmente por plazos de un año a menos de tres años, y a la media aritmética eliminando los valores extremos de los préstamos con garantía hipotecaria para adquisición de vivienda libre formalizados mensualmente por plazos de tres años o más.
Los tipos utilizados en el cálculo de las medias serán los tipos anuales equivalentes, ponderados por sus respectivos principales, comunicados por las cajas de ahorros confederadas al Banco de España, para cada una de esas modalidades de préstamo y esos plazos, en virtud de lo previsto en la norma segunda.
De no recibirse las comunicaciones de alguna caja confederada antes del día 20 de cada mes, respecto de las operaciones efectuadas en el mes anterior, se tomarán los datos del mes precedente de los que se disponga, en relación con la misma; pero, si no se contara con información dos meses consecutivos, dicha caja se eliminará a efectos de los cálculos que deban realizarse, si bien será necesario, para determinar el índice, que exista información de un mínimo de cuarenta cajas de las que se haya recibido puntualmente información, o bien de un número de ellas que suponga, al menos, el 50 % del sector, en función del volumen de la rúbrica de débitos a clientes.
Las series de datos obtenidas se depurarán eliminando los valores extremos que se aparten de la media aritmética de la serie completa dos o más veces su desviación estándar (SD).
La fórmula de cálculo será:
Para el cálculo de la media aritmética depurada se excluirán aquellos datos para los que se verifique cualquiera de las dos condiciones siguientes:
5. Tipo de rendimiento interno en el mercado secundario de la deuda pública de plazo entre dos y seis años
Se define como la media móvil semestral centrada en el último mes de los rendimientos internos medios ponderados diarios de los valores emitidos por el Estado materializados en anotaciones en cuenta y negociados en operaciones simples al contado del mercado secundario entre titulares de cuentas, con vencimiento residual entre dos y seis años.
El índice se calculará aplicando las fórmulas siguientes:
a. Para calcular el rendimiento interno efectivo de cada operación realizada:
b.El rendimiento interno medio ponderado diario se obtiene ponderando los operación por sus respectivos volúmenes nominales de negociación:
c.El índice efectivo se define como la media simple de los rendimientos internos medios ponderados diarios registrados en los seis meses precedentes al de la publicación:
Siendo:
Ie = Índice efectivo.
R = La media ponderada diaria, en tanto por ciento, de las tasas de rendimiento interno de las operaciones realizadas con todos aquellos valores que reúnan los siguientes requisitos:
a.Que sean valores emitidos por el Estado y materializados en anotaciones en cuenta, negociados en operaciones simples al contado en el mercado entre titulares de cuentas en la Central de Anotaciones.
b.Que sean valores con tipo de interés fijo.
c.Que sean valores contratados a tipos de mercado, eliminando aquellos que, por cualquier motivo, se cruzan a tipos muy diferentes.
d.Que el plazo residual del valor negociado esté comprendido entre dos y seis años. Si existe cláusula de amortización anticipada, se tomará la primera fecha de vencimiento.
Pi = Precio total de la operación.
Ri = Tipo de rendimiento interno de cada operación.
C = Importe bruto de un cupón.
T = Tiempo en años (365 días) entre la fecha de liquidación el primer cupón.
N = Número de cupones que se han de pagar hasta la amortización.
M = Número de pagos de cupón por año.
A = Valor de amortización.
t = Número de días con negociación en el período considerado.
6. Tipo interbancario a un año (también conocido como tipo MIBOR a un año):
(Redacción según Circular 1/2000, de 28 de enero, a entidades de crédito, sobre modificación de la Circular 8/1990, de 7 de septiembre, sobre transparencia de las operaciones y protección de la clientela.)
Se define como la media simple de los tipos de interés diarios a los que se han cruzado operaciones a plazo de un año en el mercado de depósitos interbancario, durante los días hábiles del mes natural correspondiente. No obstante, en los días hábiles en los que no se hayan cruzado operaciones a un año en el mercado de depósitos interbancario español se tomará como dato para calcular la media mensual el tipo de contado publicado por la Federación Bancaria Europea para las operaciones de depósitos en euros a plazo de un año, calculado a partir del ofertado por una muestra de Bancos para operaciones entre entidades de similar calificación (Euribor).
Para el cálculo del tipo de interés diario en el mercado interbancario español se tendrán en cuenta las siguientes reglas:
i.De las operaciones cruzadas se excluyen las realizadas a tipos claramente alejados de lo tónica general del mercado.
ii.Los tipos diarios son, a su vez, los tipos medios ponderados por el importe de las operaciones realizadas a ese plazo durante el día.
iii.El plazo de un año se define como el intervalo de trescientos cincuenta y cuatro a trescientos setenta y seis días.
iv.La fórmula de cálculo es la siguiente:
a.Para el cálculo del tipo de interés diario ponderado en el mercado interbancario español:
b.Para el cálculo del tipo de depósitos interbancarios:
Siendo:
Rd = La media ponderada de los tipos de interés diarios, o la Referencia interbancaria a un año, tal y como se define en el número 7 de este anexo, los días que no se hayan cruzado operaciones en el mercado español.
Ri = Los tipos de interés de cada una de las operaciones cruzadas.
Ei = El importe efectivo de cada operación.
N = Número de operaciones cruzadas en el día.
IDI = El tipo MIBOR a un año.
T = El número de días hábiles en el mercado interbancario.
7. Referencia interbancaria a un año.
(Redacción según Circular 7/1999, de 29 de junio, a Entidades de crédito, sobre modificación de la Circular 8/1990, de 7 de septiembre, sobre transparencia de las operaciones de protección a la clientela.)
Se define como la media aritmética simple de los valores diarios de los días con mercado de cada mes del tipo de contado publicado por la Federación Bancaria Europea para las operaciones de depósito en euros a plazo de un año calculado a partir del ofertado por una muestra de bancos para operaciones entre entidades de similar calificación (EURIBOR).
ANEXO IX
TAE
% | Comisión
% | Duración
Años | Diferenciales |
Pagos
anuales
% | Pagos
semestrales
% | Pagos
trimestrales
% | Pagos
mensuales
% |
9,0
9,5
10,0
10,5
11,0
11,5
12,0
9,0
9,5
10,0
10,5
11,0
11,5
12,0 | 1,5
1,5
1,5
1,5
1,5
1,5
1,5
1,5
1,5
1,5
1,5
1,5
1,5
1,5 | 10
10
10
10
10
10
10
20
20
20
20
20
20
20 | 0,15
0,15
0,15
0,15
0,15
0,15
0,15
0,07
0,07
0,07
0,07
0,07
0,07
0,07 | 0,34
0,36
0,38
0,40
0,43
0,45
0,48
0,27
0,29
0,31
0,33
0,36
0,38
0,41 | 0,43
0,46
0,49
0,53
0,57
0,60
0,64
0,36
0,39
0,42
0,46
0,50
0,53
0,57 | 0,49
0,53
0,57
0,61
0,65
0,70
0,75
0,42
0,46
0,50
0,54
0,59
0,63
0,68 |
9,0
9,5
10,0
10,5
11,0
11,5
12,0
9,0
9,5
10,0
10,5
11,0
11,5
12,0 | 2,0
2,0
2,0
2,0
2,0
2,0
2,0
2,0
2,0
2,0
2,0
2,0
2,0
2,0 | 10
10
10
10
10
10
10
20
20
20
20
20
20
20 | 0,20
0,20
0,20
0,20
0,20
0,20
0,20
0,10
0,10
0,10
0,10
0,10
0,10
0,10 | 0,39
0,41
0,43
0,45
0,48
0,50
0,53
0,29
0,31
0,33
0,36
0,38
0,41
0,43 | 0,48
0,51
0,54
0,58
0,61
0,65
0,69
0,38
0,41
0,45
0,48
0,52
0,56
0,60 | 0,54
0,57
0,61
0,66
0,70
0,75
0,79
0,44
0,48
0,52
0,57
0,61
0,66
0,70 |
9,0
9,5
10,0
10,5
11,0
11,5
12,0
9,0
9,5
10,0
10,5
11,0
11,5
12,0 | 3,0
3,0
3,0
3,0
3,0
3,0
3,0
3,0
3,0
3,0
3,0
3,0
3,0
3,0 | 10
10
10
10
10
10
10
20
20
20
20
20
20
20 | 0,30
0,30
0,30
0,30
0,30
0,30
0,30
0,15
0,15
0,15
0,15
0,15
0,15
0,15 | 0,48
0,50
0,52
0,55
0,57
0,60
0,62
0,34
0,36
0,38
0,40
0,43
0,45
0,48 | 0,57
0,60
0,63
0,67
0,70
0,74
0,78
0,43
0,46
0,49
0,53
0,57
0,60
0,64 | 0,63
0,67
0,71
0,75
0,79
0,84
0,88
0,49
0,53
0,57
0,61
0,65
0,70
0,75 |
|
El diferencial (D) se ha calculado de acuerdo con la siguiente fórmula:
Siendo
ik = ([(TAE - Comisiones/n) / 100 + 1]1/k - 1) 100.
n = Número de años del contrato.
k = Número de períodos en que se divide el año.
Esta fórmula supone una simplificación respecto a la fórmula financiera básica del cálculo de la TAE.
ANEXO X (Redacción según Circular número 3/2001, de 24 de septiembre, a Entidades de Crédito, que modifica la Circular 8/1990 de 7 de septiembre, sobre transparencia de las operaciones y protección de la clientela.)
El contenido mínimo del apartado del folleto de tarifas correspondiente a las condiciones generales aplicables a las transferencias de fondos con el exterior será el que se cita a continuación. Este apartado deberá ser autocontenido, por lo que no cabe hacer referencias a condiciones o comisiones incluidas en otros epígrafes del folleto de tarifas, debiendo reproducirse en este apartado aquellos aspectos que, estando en otros puntos del folleto, sean aplicables a las transferencias.
1. Respecto a las transferencias con origen y destino en países de la Unión Europea reguladas por la Ley 9/1999.
1.1 Sobre las transferencias ordenadas se informará de:
a.El plazo máximo referido a días laborables bancarios necesario para que, en ejecución de una orden de transferencia dada a la Entidad, se acrediten los fondos en la cuenta de la Entidad del beneficiario. Se indicará con precisión el comienzo del plazo, el cual, salvo cuando la Entidad acredite haber exigido al cliente condiciones o informaciones adicionales, se presumirá que comenzará, a más tardar, al día siguiente hábil al de la recepción de la orden.
b.Las informaciones que el cliente ordenante deberá facilitar a la Entidad, y las restantes exigencias que ésta establezca, para aceptar la orden de transferencia, incluyendo las relativas a si el pago de las comisiones aplicables o de los gastos repercutibles son a cargo del ordenante, del beneficiario o, en su caso, el criterio de reparto entre ambos.
c.La cuantía y modalidades de cálculo de las comisiones máximas aplicables y los gastos repercutibles que deba pagar el cliente ordenante a la Entidad, que se referirán al supuesto de que éste se haga cargo de la totalidad de los mismos, especificando las posibilidades que quepan al cliente para ordenar su repercusión, total o parcial, en el beneficiario.
d.Las normas de valoración de la operación cuando la entrega de los fondos por el ordenante se lleve a cabo mediante adeudo en su cuenta, que deberán respetar el límite establecido en el anexo IV.
e.En el caso de transferencias que deban abonarse en divisa distinta de la de la entrega de los fondos, la indicación de los tipos de cambio que se utilicen en la conversión, para lo que deberá tenerse en cuenta lo dispuesto en la norma primera bis.
1.2 Sobre las transferencias recibidas se informará de:
a.El plazo máximo necesario en caso de recepción de una transferencia, expresado en días laborables bancarios, para que los fondos acreditados en la cuenta de la Entidad se abonen en la cuenta del cliente que sea su beneficiario, que no será superior a un día laborable bancario a contar desde que la transferencia se acredite en la cuenta de la Entidad.
b.La cuantía y modalidades de cálculo de las comisiones máximas aplicables y los gastos repercutibles que deba pagar el cliente beneficiario a la Entidad, que únicamente podrán percibirse cuando el ordenante, en su orden, haya señalado expresamente que éstos son a cargo del beneficiario.
c.En el caso de transferencias que deban abonarse en divisa distinta de la de la entrega de los fondos, la indicación de los tipos de cambio que se utilicen en la conversión, para lo que deberá tenerse en cuenta lo dispuesto en la norma primera bis.
d.Las normas de valoración de la operación, cuyo límite máximo no podrá exceder del establecido en el apartado dos de la norma cuarta.
2. Respecto a las transferencias con origen y destino países de la Unión Europea distintas de las reguladas por la Ley 9/1999 y a las restantes transferencias con el exterior.
2.1 Sobre las transferencias ordenadas se informará de:
a.Las informaciones que el cliente ordenante deberá facilitar a la Entidad, y las restantes exigencias que ésta establezca, para aceptar la orden de transferencia, incluyendo las relativas a si el pago de las comisiones aplicables o de los gastos repercutibles son a cargo del ordenante, del beneficiario o, en su caso, el criterio de reparto entre ambos.
b.La cuantía y modalidades de cálculo de las comisiones máximas aplicables y los gastos repercutibles que deba pagar el cliente ordenante a la Entidad, especificando las posibilidades que quepan al cliente para ordenar su repercusión, total o parcial, en el beneficiario.
c.Las normas de valoración de la operación, cuando la entrega de los fondos por el ordenante se lleve a cabo mediante adeudo en su cuenta, que deberán respetar el límite establecido en el anexo IV.
d.En caso de transferencias que deban abonarse en divisa distinta de la de la entrega de los fondos, la indicación de los tipos de cambio que se utilicen en la conversión, para lo que deberá tenerse en cuenta lo dispuesto en la norma primera bis.
2.2 Sobre las transferencias recibidas se informará de:
a.La cuantía y modalidades de cálculo de las comisiones máximas aplicables y los gastos repercutibles que deba pagar el cliente beneficiario a la Entidad.
b.En caso de transferencias que deban abonarse en divisa distinta de la de la entrega de los fondos, la indicación de los tipos de cambio que se utilicen en la conversión, para lo que deberá tenerse en cuenta lo dispuesto en la norma primera bis.
c.Las normas de valoración de la operación, cuyo límite máximo no podrá exceder del establecido en el apartado dos de la norma cuarta.
3. Otras informaciones sobre transferencias:
a.Definición de día laborable bancario que deberá ajustarse a lo dispuesto en el artículo 8 de la Orden de 16 de noviembre de 2000.
b.Vías de reclamación y de recurso a disposición del cliente, y las modalidades de acceso a ellas.
c.Definición de transferencia que figura en el párrafo quinto del apartado 4 de la norma tercera.