BOE núm. 185, de 3 de agosto de 2013
Ministerio de Educación, Cultura y Deporte
Real Decreto 609/2013, de 2 de agosto, por el que se establecen los umbrales de renta y patrimonio familiar y las cuantías de las becas y ayudas al estudio para el curso 2013-2014, y se modifica parcialmente el Real Decreto 1721/2007, de 21 de diciembre, por el que se establece el régimen de las becas y ayudas al estudio personalizadas.
PREÁMBULO
El cumplimiento del deber constitucional de garantizar la igualdad de los ciudadanos en el acceso a la educación requiere la remoción de cualquier obstáculo de naturaleza socioeconómica que dificulte o impida el ejercicio de este derecho fundamental. Mas allá de la educación básica, las prestaciones educativas pierden las notas de obligatoriedad y/o gratuidad, pero la garantía constitucional del derecho a la educación exige que nadie quede excluido del acceso a la enseñanza de niveles que no sean obligatorios o gratuitos por razones socioeconómicas, para lo cual es preciso establecer mecanismos de exención de tasas y precios públicos o de compensación de estos gastos a los beneficiarios, a través de becas y ayudas al estudio. De este modo, puede inferirse que el Constituyente ha fijado la obligación de los poderes públicos de establecer un sistema de becas y ayudas para garantizar el derecho de todos a la educación.
En este sentido, el legislador orgánico ha abordado estos aspectos, en cumplimiento de su responsabilidad contenida en el artículo 81.1 de la Constitución («desarrollo de los derechos fundamentales y de las libertades públicas»), en el artículo 6.3.h) de la Ley Orgánica 8/1985, de 3 de julio, reguladora del Derecho a la Educación, en el artículo 45 de la Ley Orgánica 6/2001, de 21 de diciembre, de Universidades, y en el artículo 83 de la Ley Orgánica 2/2006, de 3 de mayo, de Educación. A través de estas disposiciones se han conformado las becas y ayudas en la enseñanza postobligatoria como un elemento esencial del derecho a la educación que se sustenta en un doble principio: compensación de las condiciones socioeconómicas desfavorables de sus beneficiarios, y concesión en función del aprovechamiento y rendimiento escolar.
Por otra parte, la disposición adicional novena de la Ley 24/2005, de 18 de noviembre, de reforma para el impulso de la productividad, estableció la concesión directa a los alumnos de estudios reglados del sistema educativo, tanto universitarios como no universitarios, de las becas y ayudas al estudio que se convoquen con cargo a los presupuestos del Ministerio de Educación para las que no se fije un número determinado de beneficiarios.
En este marco jurídico, el Real Decreto 1721/2007, de 21 de diciembre, por el que se establece el régimen de las becas y ayudas al estudio personalizadas, establece los elementos estructurales básicos del sistema: las modalidades de las becas, las condiciones académicas y económicas, los supuestos de incompatibilidad, revocación y reintegro y cuantos requisitos, condiciones socioeconómicas u otros factores sean precisos para asegurar la igualdad en el acceso a la educación. En cualquier caso, se difiere a un real decreto anual la determinación de dos parámetros cuantitativos que, por su carácter coyuntural, no pueden establecerse con carácter general: los umbrales de renta y patrimonio cuya superación determina la pérdida del derecho a la obtención de la beca o ayuda, y el importe de los diferentes componentes y cuantías de las becas y ayudas al estudio.
El Gobierno se encuentra firmemente comprometido con la dimensión social de la educación y con una política de becas y ayudas al estudio que garantice que ningún estudiante abandone sus estudios postobligatorios por motivos económicos, asegurando así la cohesión social y la igualdad de oportunidades, para lo que ha mantenido el esfuerzo financiero pese al estricto marco de contención del gasto público. Pero además de cumplir su función de asegurar la igualdad de oportunidades de todos aquellos que, teniendo vocación y aptitudes para el estudio, carecen de los medios económicos necesarios para emprenderlos o continuarlos, la política de becas y ayudas al estudio debe ser un instrumento de estímulo a la mejora del rendimiento académico de los estudiantes, especialmente de los estudiantes de los niveles superiores del sistema educativo.
Ya en cursos anteriores se avanzaron algunas medidas en esta dirección y se anunciaron las que se pondrían en vigor en el curso 2013-2014. Es propósito decidido del Gobierno seguir avanzando por esta vía del esfuerzo, la responsabilidad y un mejor rendimiento académico, y reforzar así la equidad y la igualdad de oportunidades para conseguir que la educación contribuya a la promoción social, garantizando, al mismo tiempo, la mayor eficiencia de los importantes recursos públicos destinados a la política de becas y ayudas al estudio.
Así, este real decreto tiene dos finalidades: por un lado, viene a establecer para el curso académico 2013-2014 los parámetros económicos de las becas y ayudas al estudio del Ministerio de Educación, Cultura y Deporte y a fijar sus cuantías, así como los umbrales de patrimonio y renta familiar por encima de los cuales desaparece el derecho a su obtención. Por otra parte, se acomete una reforma de la estructura del sistema que pretende reforzar su eficacia en la consecución de los objetivos propuestos y mejorar la eficiencia en la asignación de los recursos públicos, prestando especial atención a situaciones de necesidad.
Este real decreto cuenta con informes favorables del Ministerio de Hacienda y Administraciones Públicas. Ha sido además objeto de dictamen del Consejo Escolar del Estado y de informe del Consejo de Universidades y del Consejo de Estudiantes Universitario del Estado, y en su tramitación han sido consultadas las Comunidades Autónomas a través de la Conferencia de Educación y de la Conferencia General de Política Universitaria.
En su virtud, a propuesta del Ministro de Educación, Cultura y Deporte, de acuerdo con el Consejo de Estado, y previa deliberación del Consejo de Ministros en su reunión del día 2 de agosto de 2013,dispongo:
CAPÍTULO I. Disposiciones generales
Artículo 1. Objeto.
Este real decreto tiene por objeto determinar los siguientes parámetros cuantitativos por los que se regirán las convocatorias de becas y ayudas al estudio correspondientes al curso académico 2013-2014 financiadas con cargo al presupuesto del Ministerio de Educación, Cultura y Deporte:
a) La cuantía de las diferentes modalidades de las becas y ayudas al estudio reguladas en el Real Decreto 1721/2007, de 21 de diciembre, por el que se establece el régimen de las becas y ayudas al estudio personalizadas.
b) Los umbrales de renta y patrimonio familiar por encima de los cuales desaparece el derecho a la percepción de las becas y ayudas al estudio.
Artículo 2. Ámbito de aplicación.
Para el curso académico 2013-2014 y con cargo a los créditos correspondientes de los Presupuestos Generales del Estado, se publicarán las siguientes convocatorias de becas y ayudas al estudio, sin número determinado de personas beneficiarias:
1. Convocatoria de becas y ayudas al estudio de carácter general, dirigidas a las siguientes enseñanzas postobligatorias y superiores:
a) Bachillerato.
b) Formación Profesional de Grado Medio y de Grado Superior.
c) Enseñanzas Artísticas Profesionales.
d) Enseñanzas Deportivas.
e) Enseñanzas Artísticas superiores.
f) Estudios religiosos superiores.
g) Estudios militares superiores y de Grado.
h) Estudios de idiomas realizados en Escuelas Oficiales de titularidad de las Administraciones educativas, incluida la modalidad de distancia.
i) Cursos de acceso y cursos de preparación para las pruebas de acceso a la Formación Profesional y cursos de formación específicos para el acceso a los Ciclos Formativos de Grado Medio y de Grado Superior impartidos en centros públicos y en centros privados concertados que tengan autorizadas enseñanzas de Formación Profesional.
j) Programas de Cualificación Profesional Inicial.
k) Enseñanzas universitarias adaptadas al Espacio Europeo de Educación Superior conducentes a títulos oficiales de Grado y de Máster,
l) Enseñanzas universitarias conducentes a los títulos oficiales de Licenciado, Ingeniero, Arquitecto, Diplomado, Maestro, Ingeniero Técnico y Arquitecto Técnico,
m) Curso de preparación para el acceso a la universidad de mayores de 25 años impartido por Universidades públicas.
n) Complementos de formación necesarios para el acceso u obtención del Máster y del Grado así como para diplomados universitarios que deseen proseguir estudios oficiales de Licenciatura.
2. Convocatoria de ayudas al estudio para estudiantes con necesidad específica de apoyo educativo.
CAPÍTULO II. Becas y ayudas al estudio de caracter general
Artículo 3. Cuantías de las becas y ayudas al estudio de carácter general para las enseñanzas no universitarias.
1.Las cuantías de las becas y ayudas al estudio de carácter general para las enseñanzas indicadas en los párrafos a) a j) del artículo 2.1 que se podrán percibir en los supuestos previstos en este real decreto serán las siguientes:
a) Cuantía fija ligada a la renta del solicitante: 1.500 euros.
b) Cuantía fija ligada a la residencia del solicitante durante el curso: 1.500 euros. No obstante, en ningún caso dicha cuantía podrá superar al coste real de la prestación.
c) Beca básica: 200 euros.
d) Cuantía variable, cuyo importe mínimo será de 60 euros.
2. Quienes cursen en régimen presencial y matrícula completa los estudios enumerados en los párrafos a), b), c), d), e), f) y g) del artículo 2.1 podrán percibir las cuantías fijas y la cuantía variable. Para la adjudicación de la cuantía ligada a la residencia del estudiante durante el curso se requerirá que el solicitante curse estudios presenciales con un número mínimo de horas lectivas y que acredite la necesidad de residir fuera del domicilio familiar durante el curso, por razón de la distancia entre el mismo y el centro docente, los medios de comunicación existentes y los horarios lectivos. A estos efectos, se considerará como domicilio familiar el más próximo al centro docente que pertenezca o en el que resida de forma habitual algún miembro computable de la unidad familiar, aunque no coincida con el domicilio legal del solicitante.
Los umbrales de renta aplicables para la concesión de las cuantías de las becas previstas en este apartado serán los siguientes:
1.º Umbral 1: Los solicitantes cuya renta no supere el umbral 1 de renta familiar establecido en este real decreto podrán obtener las cuantías a que se refieren los párrafos a), b) y d) del apartado 1.
2.º Umbral 2: Los solicitantes cuya renta supere el umbral 1 y no supere el umbral 2 de renta familiar establecido en este real decreto podrán obtener las cuantías a que se refieren los párrafos b), c) y d) del apartado 1.
3.º Umbral 3: Los solicitantes cuya renta supere el umbral 2 y no supere el umbral 3 de renta familiar establecido en este real decreto podrán obtener únicamente la beca básica.
3. Quienes cursen los estudios enumerados en los párrafos h), i) y j) del artículo 2.1, así como quienes realicen el proyecto fin de carrera, cursen estudios en modalidad distinta de la presencial, u opten por matrícula parcial, podrán percibir la beca básica y la cuantía variable mínima.
Los umbrales de renta aplicables para la concesión de las cuantías de las becas previstas en este apartado serán los siguientes:
1.º Umbral 2: Los solicitantes cuya renta no supere el umbral 2 de renta familiar establecido en este real decreto podrán obtener la beca básica y la cuantía variable mínima.
2.º Umbral 3: Los solicitantes cuya renta supere el umbral 2 y no supere el umbral 3 de renta familiar establecido en este real decreto podrán obtener únicamente la beca básica.
Artículo 4. Cuantías de las becas y ayudas al estudio de carácter general para las enseñanzas universitarias.
1.Las cuantías de las becas de carácter general para las enseñanzas indicadas en los párrafos k) a n) del artículo 2.1 que se podrán percibir en los supuestos previstos en este real decreto serán las siguientes:
a) Cuantía fija ligada a la renta del solicitante: 1.500 euros.
b) Cuantía fija ligada a la residencia del solicitante durante el curso: 1.500 euros. No obstante, en ningún caso dicha cuantía podrá superar al coste real de la prestación.
c) Cuantía variable, cuyo importe mínimo será de 60 euros.
d) Beca de matrícula: comprenderá el precio público oficial de los servicios académicos universitarios correspondiente a los créditos en que se haya matriculado el estudiante por primera vez en el curso 2013-2014.
No formarán parte de la beca de matrícula aquellos créditos que excedan del mínimo necesario para obtener la titulación de que se trate.
En el caso de los estudiantes de universidades privadas, la cuantía de esta beca será igual al precio mínimo establecido por la Comunidad Autónoma para un estudio con la misma experimentalidad en una universidad pública de esa misma Comunidad Autónoma.
La compensación a las Universidades de las cuantías de la beca de matrícula a que se refieren los párrafos anteriores se efectuará conforme a lo previsto en la disposición adicional tercera.
2. Quienes cursen los estudios enumerados en las letras k) y l) del artículo 2.1 en régimen de enseñanza presencial y con matrícula completa podrán percibir las cuantías fijas, la cuantía variable y la beca de matrícula. Para la adjudicación de la cuantía ligada a la residencia del estudiante durante el curso se requerirá que el solicitante acredite la necesidad de residir fuera del domicilio familiar durante el curso, por razón de la distancia entre el mismo y el centro docente, los medios de comunicación existentes y los horarios lectivos. A estos efectos, se considerará como domicilio familiar el más próximo al centro docente que pertenezca o en el que resida de forma habitual algún miembro computable de la unidad familiar, aunque no coincida con el domicilio legal del solicitante.
Los umbrales de renta aplicables para la concesión de las cuantías de las becas previstas en este apartado serán los siguientes:
1.º Umbral 1: Los solicitantes cuya renta no supere el umbral 1 de renta familiar establecido en este real decreto podrán obtener las cuantías a que se refieren los párrafos a), b), c) y d) del apartado 1.
2.º Umbral 2: Los solicitantes cuya renta supere el umbral 1 y no supere el umbral 2 de renta familiar establecido en este real decreto podrán obtener las cuantías a que se refieren los párrafos b), c) y d) del apartado 1.
3.º Umbral 3: Los solicitantes cuya renta supere el umbral 2 y no supere el umbral 3 de renta familiar establecido en este real decreto podrán obtener únicamente la beca de matrícula.
3. Quienes realicen el curso de preparación para el acceso a la universidad de mayores de 25 años impartido por universidades públicas, quienes cursen complementos de formación o realicen el proyecto de fin de carrera que no constituya una asignatura ordinaria del plan de estudios, así como quienes opten por matrícula parcial o cursen enseñanzas en modalidad distinta de la presencial, podrán obtener la beca de matrícula y la cuantía variable mínima.
Los umbrales de renta aplicables para la concesión de las cuantías de las becas previstas en este apartado serán los siguientes:
1.º Umbral 2: Los solicitantes cuya renta no supere el umbral 2 de renta familiar establecido en este real decreto podrán obtener la beca de matrícula y la cuantía variable mínima.
2.º Umbral 3: Los solicitantes cuya renta supere el umbral 2 y no supere el umbral 3 de renta familiar establecido en este real decreto podrán obtener únicamente la beca de matrícula.
Artículo 5. Cuantía variable.
1. Los recursos asignados por el Ministerio de Educación, Cultura y Deporte para la convocatoria del curso escolar 2013-2014 de becas y ayudas al estudio de carácter general, a excepción de aquellos que se destinen a compensar las becas de matrícula, se aplicarán en primer lugar a la cobertura de las becas básicas y de las cuantías fijas ligadas a la renta y a la residencia del solicitante según lo indicado en los artículos 3 y 4, así como de las cuantías adicionales previstas en el artículo 6, las cuantías adicionales previstas en la disposición adicional primera, y de los importes de las cuantías variables mínimas indicadas en los artículos 3.3 y 4.3 de este real decreto y en los artículos 12, 18.1, 19.1, 20.1, 22.2, 26 y disposición transitoria primera del Real Decreto 1721/2007, de 21 de diciembre.
El importe que en su caso reste tras realizar las operaciones indicadas en el párrafo anterior, dependiendo de las disponibilidades presupuestarias, se asignará a la cobertura de la cuantía variable, que se distribuirá entre los solicitantes en función de la renta familiar y del rendimiento académico de los estudiantes, mediante la aplicación de la fórmula establecida en el artículo 9.2 del Real Decreto 1721/2007, de 21 de diciembre. El Ministerio de Educación, Cultura y Deporte determinará el porcentaje de dicho importe que se destinará a cuantía variable que corresponda a los estudiantes universitarios y no universitarios, respectivamente.
Para la concesión de la cuantía variable, la renta del solicitante no podrá superar el umbral 2 de renta familiar establecido en este real decreto.
2. El Ministerio de Educación, Cultura y Deporte podrá realizar una distribución provisional del 50 % de la cuantía variable entre las solicitudes tramitadas en la convocatoria en curso.
Para el cálculo del importe a distribuir de forma provisional para las cuantías variables, se tendrá en cuenta el importe de los recursos asignados a la convocatoria disponibles una vez asignados los importes que correspondan a la cuantías fijas indicadas en el primer párrafo del apartado 1 en relación con el número de solicitudes tramitadas en la convocatoria en curso.
Una vez el Ministerio de Educación, Cultura y Deporte haya recibido todas las solicitudes tramitadas por las Comunidades Autónomas y las Universidades, procederá a realizar la distribución definitiva del 100 % de la cuantía variable entre todas las solicitudes con derecho a la cuantía variable.
3. El importe reservado para compensar las becas de matrícula se abonará una vez se reciba en el Ministerio de Educación, Cultura y Deporte la información de las Universidades sobre precios públicos devengados por los becarios a los que corresponda la beca de matrícula, sin perjuicio de la posibilidad de realizar pagos a cuenta a las Universidades.
Artículo 6. Cuantías adicionales.
1.El importe que resulte de la concesión de las becas y ayudas al estudio establecidas en los artículos 3 y 4 de este real decreto se incrementará en una de las siguientes cuantías adicionales:
a) Conforme al mandato contenido en el artículo 138.1 de la Constitución, las personas beneficiarias de becas y ayudas al estudio con domicilio familiar en la España insular o en Ceuta o Melilla que se vean en la necesidad de utilizar transporte marítimo o aéreo para acceder al centro docente en el que cursen sus estudios desde su domicilio, dispondrán de 442 euros más sobre la cuantía de las becas y ayudas al estudio que se les hayan correspondido.
b) Esta cantidad adicional será de 623 euros para los becarios con domicilio familiar en las islas de Lanzarote, Fuerteventura, Gomera, Hierro y La Palma, Menorca y las Pitiusas.
c) En el caso de que el estudiante tenga que desplazarse entre las Islas Baleares o las Islas Canarias y la Península, las cantidades a que se refieren los párrafos a) y b) anteriores serán de 888 y 937 euros, respectivamente.
2. Las cuantías adicionales indicadas en el apartado anterior serán también aplicables a los estudiantes matriculados en centros oficiales de Bachillerato a distancia que residan en territorio insular que carezca de centro asociado o colaborador.
CAPÍTULO III. Ayudas para el alumnado con necesidad específica de apoyo educativo
Artículo 7. Estudios comprendidos.
1. Se convocarán ayudas al estudio y subsidios para el alumnado con necesidad específica de apoyo educativo derivada de discapacidad o trastorno grave de conducta o asociada a alta capacidad intelectual que curse estudios en los niveles de segundo ciclo de Educación Infantil, Educación Primaria, Educación Secundaria Obligatoria, Bachillerato, Ciclos Formativos de Grado Medio y de Grado Superior y Programas de Cualificación Profesional Inicial.
Los subsidios atenderán a los gastos de comedor escolar y de transporte escolar y se concederán al alumnado con necesidades educativas especiales que pertenezcan a familias numerosas.
2. Los componentes y cuantías de las ayudas y subsidios para el alumnado con necesidad específica de apoyo educativo derivada de discapacidad serán los siguientes:
3. Las cuantías establecidas en el apartado anterior para las ayudas o subsidios de transporte se incrementarán hasta en un 50 % cuando el alumno presente una discapacidad motora reconocida superior al 65 %.
4. No se concederán ayudas ni subsidios cuando los gastos a los que atienden se hallen cubiertos suficientemente por servicios o fondos públicos o, en su caso, por ayudas concedidas a los centros para financiar el correspondiente servicio. En el nivel de Educación Infantil no se concederán ayudas para material escolar.
5. El alumnado con altas capacidades intelectuales podrá obtener, en los términos previstos en el artículo 11 del Real Decreto 1721/2007, de 21 de diciembre, una ayuda de hasta 913 euros para el pago de los gastos derivados de la inscripción y asistencia a programas específicos para este colectivo.
6. El umbral de renta aplicable para la concesión de los componentes de las ayudas al estudio para el alumnado con necesidad específica de apoyo educativo será el siguiente:
A partir del octavo miembro se añadirán 3.672 euros por cada nuevo miembro computable de la familia.
7. Para la concesión de los subsidios no se atenderá a la renta ni al patrimonio familiar.
CAPÍTULO IV. Los umbrales de renta y patrimonio familiar
Artículo 8. Umbrales de renta familiar.
1. De conformidad con lo previsto en el apartado e) de la disposición adicional primera del Real Decreto 1721/2007, de 21 de diciembre, el umbral 1 de renta familiar para el curso 2013-2014 se fijará en las convocatorias que aprueben el Ministerio de Educación, Cultura y Deporte y las Administraciones educativas competentes que hayan asumido el pleno ejercicio de las competencias previstas en dicho real decreto.
El Ministerio de Educación, Cultura y Deporte financiará las becas sujetas al extremo inferior del intervalo recogido en la siguiente tabla, incluyendo el componente de la beca de matrícula en los términos establecidos en la disposición adicional tercera. Las becas que se concedan a los estudiantes cuya renta familiar se sitúe dentro del intervalo fijado se financiarán al cincuenta por ciento entre el Ministerio de Educación, Cultura y Deporte y la Comunidad Autónoma convocante.
A partir del octavo miembro se añadirán entre 3.079 y 3.235 euros por cada nuevo miembro computable de la familia.
2. El umbral 2 de renta familiar para el curso 2013-2014 será el recogido en la siguiente tabla:
A partir del octavo miembro se añadirán 3.181 euros por cada nuevo miembro computable de la familia.
3. De conformidad con lo previsto en el apartado e) de la disposición adicional primera del Real Decreto 1721/2007, de 21 de diciembre, el umbral 3 de renta familiar para el curso 2013-2014 se fijará en las convocatorias que aprueben el Ministerio de Educación, Cultura y Deporte y las Administraciones educativas competentes que hayan asumido el pleno ejercicio de las competencias previstas en dicho real decreto.
El Ministerio de Educación, Cultura y Deporte financiará las becas sujetas al extremo inferior del intervalo recogido en la siguiente tabla, incluyendo el componente de la beca de matrícula en los términos establecidos en la disposición adicional tercera. Las becas que se concedan a los estudiantes cuya renta familiar se sitúe dentro del intervalo fijado se financiarán al cincuenta por ciento entre el Ministerio de Educación, Cultura y Deporte y la Comunidad Autónoma convocante.
A partir del octavo miembro se añadirán entre 3.391 y 3.562 euros por cada nuevo miembro computable de la familia.
Artículo 9. Cálculo de la renta familiar.
1.La renta familiar a efectos de beca o ayuda se obtendrá por agregación de las rentas de cada uno de los miembros computables de la familia que obtengan ingresos de cualquier naturaleza, calculadas según se indica en los apartados siguientes y de conformidad con la normativa reguladora del Impuesto sobre la Renta de las Personas Físicas. A efectos de las becas y ayudas al estudio del curso 2013-2014, se computará el ejercicio 2012.
2. Para la determinación de la renta de los miembros computables que hayan presentado declaración por el Impuesto sobre la Renta de las Personas Físicas, se procederá del modo siguiente:
a) Se sumará la base imponible general con la base imponible del ahorro, excluyendo todos los saldos netos negativos de ganancias y pérdidas patrimoniales de 2008 a 2011 y el saldo neto negativo de rendimientos del capital mobiliario de 2008, 2009, 2010 y 2011 a integrar en la base imponible del ahorro.
b) De este resultado se restará la cuota resultante de la autoliquidación.
3. Para la determinación de la renta de los demás miembros computables que obtengan ingresos propios y no hayan presentado declaración por el Impuesto sobre la Renta de las Personas Físicas se seguirá el procedimiento descrito en el párrafo a) del apartado 2 y del resultado obtenido se restarán los pagos a cuenta efectuados.
Artículo 10. Deducciones de la renta familiar.
En el curso 2013-2014 se aplicarán las siguientes deducciones de la renta familiar:
a) El 50 % de los ingresos aportados por cualquier miembro computable de la familia distinto de los sustentadores principales.
b) 500 euros por cada hermano que conviva en el domicilio familiar, incluido el solicitante, cuando se trate de familias numerosas de categoría general, y 765 euros si se trata de familias numerosas de categoría especial, siempre que tenga derecho a este beneficio. Cuando sea el propio solicitante el titular de la familia numerosa, las cantidades señaladas serán computadas en relación con los hijos que la compongan. Esta deducción será de hasta 2.000 euros en la convocatoria de ayudas para alumnado con necesidad específica de apoyo educativo.
c) 1.811 euros por cada hermano o hijo del solicitante o el propio solicitante que presente discapacidad, legalmente reconocida, de grado igual o superior al 33 %; o 2.881 euros cuando la discapacidad sea de grado igual o superior al 65 %. Esta deducción será de 4.000 euros por el solicitante y otro tanto por cada uno de sus hermanos con discapacidad legalmente calificada de grado igual o superior al 33 % en la convocatoria de ayudas para alumnado con necesidad específica de apoyo educativo.
d) 1.176 euros por cada hermano del solicitante menor de 25 años o el propio solicitante que curse estudios universitarios y resida fuera del domicilio familiar, cuando sean dos o más los estudiantes con residencia fuera del domicilio familiar por razón de estudios universitarios.
e) Se incrementará el umbral de renta familiar aplicable en un 20 % cuando el solicitante sea huérfano absoluto y menor de 25 años.
Artículo 11. Umbrales indicativos de patrimonio familiar.
1. Cualquiera que sea la renta familiar calculada según lo dispuesto en los artículos 9 y 10, se denegarán las becas o ayudas al estudio solicitadas para el curso 2013-2014 cuando se superen los umbrales indicativos de patrimonio familiar que se fijan a continuación:
a) La suma de los valores catastrales de las fincas urbanas que pertenezcan a los miembros computables de la familia, excluida la vivienda habitual, no podrá superar 42.900 euros. En caso de inmuebles en los que la fecha de efecto de la última revisión catastral estuviera comprendida entre el 1 de enero de 1990 y el 31 de diciembre de 2002 se multiplicarán los valores catastrales por 0,49. En el caso de que la fecha de la mencionada revisión fuera posterior al 31 de diciembre de 2002, los valores catastrales se multiplicarán por los coeficientes siguientes:
Por 0,43 los revisados en 2003.
Por 0,37 los revisados en 2004.
Por 0,30 los revisados en 2005.
Por 0,26 los revisados en 2006.
Por 0,25 los revisados en 2007.
Por 0,25 los revisados en 2008.
Por 0,26 los revisados en 2009.
Por 0,28 los revisados en 2010.
Por 0,30 los revisados en 2011.
Por 0,32 los revisados en 2012.
En los inmuebles enclavados en la Comunidad Foral de Navarra, el valor catastral se multiplicará en todo caso por 0,50.
La Dirección General del Catastro facilitará la relación de Municipios que correspondan a cada una de las situaciones indicadas, a los efectos de aplicación del coeficiente de ponderación.
b) La suma de los valores catastrales de las fincas rústicas que pertenezcan a los miembros computables de la familia no podrá superar 13.130 euros por cada miembro computable.
c) La suma de todos los rendimientos netos reducidos del capital mobiliario más el saldo neto positivo de todas las ganancias y pérdidas patrimoniales perteneciente a los miembros computables de la familia, excluyendo las subvenciones recibidas para adquisición o rehabilitación de la vivienda habitual y, en su caso, la renta básica de emancipación, no podrá superar 1.700 euros.
No se tendrán en cuenta a los efectos previstos en este apartado los premios en metálico o en especie obtenidos por la participación en juegos, concursos, rifas o combinaciones aleatorias hasta el límite de 1.500 euros.
2. En todo caso, el valor de los elementos indicativos de patrimonio se determinará de conformidad con lo dispuesto en la normativa del Impuesto sobre la Renta de las Personas Físicas por su valor a 31 de diciembre de 2012.
3. Cuando sean varios los elementos indicativos del patrimonio descritos en el apartado anterior de los que dispongan los miembros computables de la familia, se calculará el porcentaje de valor de cada elemento respecto del umbral correspondiente. Se denegarán las becas y ayudas al estudio solicitadas cuando la suma de los referidos porcentajes supere el valor cien.
4. También se denegará la beca o ayuda al estudio solicitada cuando se compruebe que la suma de los ingresos que se indican a continuación obtenida por los miembros computables de la familia supere la cantidad de 155.500 euros:
a) Ingresos procedentes de actividades económicas en estimación directa o en estimación objetiva.
b) Ingresos procedentes de una participación de los miembros computables igual o superior al cincuenta por ciento en actividades económicas desarrolladas a través de entidades sin personalidad jurídica o cualquier otra clase de entidad jurídica, una vez aplicado a los ingresos totales de las actividades el porcentaje de participación en las mismas.
5. A los efectos del cómputo del valor de los elementos a que se refieren los apartados anteriores, se deducirá el 50 % del valor de aquellos que pertenezcan a cualquier miembro computable de la familia, excluidos los sustentadores principales.
Disposición adicional primera. Medidas específicas para compensar las desventajas de los estudiantes universitarios con discapacidad.
1. Las cuantías fijas de las becas y ayudas al estudio establecidas para los estudiantes universitarios, a excepción de las becas de matrícula, se podrán incrementar hasta en un 50 % cuando el solicitante presente una discapacidad de grado igual o superior al 65 %, legalmente calificada.
No se concederán ayudas cuando los gastos a los que atienden se hallen cubiertos suficientemente por servicios o fondos públicos.
2. Cuando el solicitante presente una discapacidad de grado igual o superior al 65 % legalmente calificada, las deducciones previstas en los apartados b) y c) del artículo 10 para el alumnado con necesidad específica de apoyo educativo se aplicarán exclusivamente al citado solicitante. A los hermanos del solicitante les serán de aplicación las deducciones previstas con carácter general.
3. El número de créditos del que deban quedar matriculados y que deban superar los solicitantes de becas y ayudas al estudio se establecerá en las convocatorias correspondientes y se minorará en el caso de los estudiantes con discapacidad legalmente calificada, reduciéndose la carga lectiva necesaria para cumplir el requisito de matriculación en un 50 %, como máximo, cuando el solicitante presente una discapacidad de grado igual o superior al 65 %.
Disposición adicional segunda. Prolongación de los estudios universitarios.
En aquellos supuestos en los que los requisitos y condiciones aplicables permitan el disfrute de becas y ayudas al estudio durante uno o dos años más de los establecidos en el plan de estudios de la correspondiente titulación universitaria, la convocatoria podrá establecer que la cuantía de las becas y ayudas al estudio que se concedan para el último de estos cursos adicionales sean del 50% de las que hubieran correspondido al solicitante, con excepción de la beca de matrícula que cubrirá la totalidad de los créditos de los que se matricule por primera vez.
Disposición adicional tercera. Compensación a las universidades por la exención de matrícula.
1. Durante el curso 2013/2014, el Ministerio de Educación, Cultura y Deporte aportará a las Universidades, en concepto de compensación de los precios públicos por servicios académicos correspondientes a los alumnos becarios exentos de su pago, una cantidad por alumno becado igual a la del precio público fijado para la titulación correspondiente en el curso 2011/2012, actualizada en un 1 % de conformidad con lo previsto en el artículo 7.2 del Real Decreto-ley 14/2012, de 20 de abril, de medidas de racionalización del gasto público en el ámbito educativo.
2. En el caso de nuevas titulaciones que no existieran en el curso 2011-2012, el Ministerio de Educación, Cultura y Deporte compensará a las Universidades el importe correspondiente a los precios públicos fijados en el curso 2011-2012 para titulaciones del mismo grado de experimentalidad en su Comunidad Autónoma, actualizado en los términos previstos en el apartado anterior.
3. En el supuesto de becarios matriculados en los Másteres que en el curso de referencia 2011-2012 se denominaban «Másteres con precio diferenciado», el Ministerio de Educación, Cultura y Deporte compensará a la universidad el importe no abonado por el estudiante becario hasta un máximo de 2.100 euros.
4. Sobre las bases de cálculo fijadas en los párrafos anteriores se cuantificará la compensación de la bonificación del 50% de las matrículas correspondiente a estudiantes que pertenecen a familias numerosas de tres hijos y asimiladas.
5. Cuando la cantidad aportada por el Ministerio de Educación, Cultura y Deporte a la Universidad pública resultase inferior al coste de las becas de matrícula, en los términos definidos en el artículo 4.1.d), calculado al precio público efectivamente fijado por la Comunidad Autónoma para el curso 2013/2014, corresponderá a dicha Comunidad Autónoma compensar a las Universidades públicas por la diferencia, de modo que el beneficiario de la beca quede efectivamente exento de cualquier obligación económica.
Disposición transitoria primera. Ayudas para la adquisición de libros convocadas por las Comunidades Autónomas.
Durante el curso 2013-2014 no serán de aplicación las normas reguladoras de los requisitos económicos contenidas en este real decreto y en el Real Decreto 1721/2007, de 21 de diciembre, a las convocatorias de ayudas para la adquisición de libros de texto y material escolar en los niveles obligatorios publicadas por las comunidades autónomas y cofinanciadas por el Ministerio de Educación, Cultura y Deporte.
Disposición transitoria segunda. Convenios de cofinanciación.
Excepcionalmente para el curso 2013-2014 las comunidades autónomas que hayan iniciado la negociación para el traspaso de las funciones y servicios en materia de gestión de becas y ayudas al estudio personalizadas, de conformidad con lo previsto en la disposición adicional cuarta del Real Decreto 1721/2007, de 21 de diciembre, podrán acordar, a través de un convenio con el Ministerio de Educación, Cultura y Deporte, la convocatoria y la cofinanciación con cargo a sus propios presupuestos del 50 % de las becas que se concedan a los estudiantes cuya renta familiar se sitúe dentro del intervalo fijado en el artículo 8, apartados 1 y 3.
Disposición final primera. Título competencial y carácter de legislación básica.
Este real decreto tiene carácter básico y se dicta al amparo de las reglas 1.ª y 30.ª del artículo 149.1 de la Constitución, que reservan al Estado la competencia para establecer las normas básicas para el desarrollo del derecho a la educación, con objeto de garantizar la igualdad de todos los españoles en su ejercicio.
Disposición final segunda. Modificación del Real Decreto 1721/2007, de 21 de diciembre, por el que se establece el régimen de las becas y ayudas personalizadas.
Se modifica el Real Decreto 1721/2007, de 21 de diciembre, por el que se establece el régimen de las becas y ayudas personalizadas, en los términos que se recogen a continuación:
Uno. El párrafo d) del apartado 1 del artículo 4 quedará redactado como sigue:
«d) Ser español. En el caso de ciudadanos de la Unión o de sus familiares, beneficiarios de los derechos de libre circulación y residencia, se requerirá que tengan la condición de residentes permanentes o que acrediten ser trabajadores por cuenta propia o ajena. En el supuesto de extranjeros no comunitarios, se aplicará lo dispuesto en la normativa sobre derechos y libertades de los extranjeros en España y su integración social.»
Dos. El apartado 1 del artículo 6 queda redactado en los siguientes términos:
«1. Las cuantías de las becas y ayudas, así como de sus diferentes componentes, se fijarán antes de cada curso académico atendiendo a las disponibilidades presupuestarias.»
Tres. El artículo 9 queda redactado en los siguientes términos:
«Artículo 9. Modalidades de las becas en las enseñanzas postobligatorias.
En las enseñanzas enumeradas en el artículo 3.1 se podrán conceder becas que incluirán alguna o algunas de las siguientes cuantías:
1. Cuantías fijas:
a) Beca de matrícula: todos los solicitantes que cursen estudios universitarios y que cumplan los requisitos establecidos en la correspondiente convocatoria tendrán derecho a percibir la beca de matrícula.
b) Cuantía fija ligada a la renta del solicitante.
c) Cuantía fija ligada a la residencia del estudiante durante el curso escolar, cuya cuantía no será, en ningún caso, superior al coste real de la prestación.
d) Beca básica.
Para cada curso académico se fijarán los importes a que se refieren los apartados b), c) y d) anteriores.
2. Cuantía variable: la beca podrá incluir, asimismo, una cuantía variable y distinta para los diferentes solicitantes que resultará de la ponderación de la nota media del expediente del estudiante y de su renta familiar. Para cada curso académico podrán fijarse importes mínimos y/o máximos para la cuantía variable.
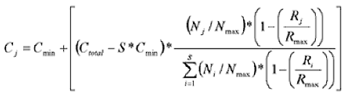
Los recursos asignados por el Ministerio de Educación, Cultura y Deporte para cada convocatoria, a excepción de aquellos que se destinen a compensar las becas de matrícula, se asignarán en primer lugar a la cobertura de las cuantías indicadas en los párrafos b), c) y d) del apartado anterior y a las que indiquen los reales decretos anuales que fijen los umbrales económicos y los demás requisitos necesarios para obtener beca o ayuda al estudio, para todos los estudiantes que resulten beneficiarios de las mismas según establezca la convocatoria. El importe que, en su caso, reste tras realizar las operaciones anteriormente indicadas, dependiendo de las disponibilidades presupuestarias se asignará a la cobertura de la cuantía variable, que se distribuirá entre los solicitantes de cada convocatoria en función de su renta familiar y de su rendimiento académico mediante la aplicación de la siguiente fórmula:
Cj= Cuantía variable a percibir por el becario.
Cmin = Cuantía variable mínima, que se establecerá en los reales decretos anuales que fijen los umbrales económicos y los demás requisitos necesarios para obtener beca o ayuda al estudio.
Ctotal = Importe total a distribuir de forma variable: en cada convocatoria se podrán fijar una o más masas de recursos a distribuir, en función del tipo de enseñanzas.
S= número de perceptores de cuantía variable.
Nj= Nota media del becario. Para el cálculo de esta nota media se computarán también las calificaciones correspondientes a asignaturas o créditos no superados, si los hubiere.
Ni = Nota media de cada uno de los becarios a que se refiere S.
Nmax: Nota media obtenida por el mejor decil de becarios en el caso de estudiantes no universitarios, o nota media obtenida por el mejor decil de becarios de la misma área de conocimiento del becario en el caso de estudiantes universitarios. Para el cálculo de Nmax no se computarán las notas de aquellos becarios a los que, de acuerdo con lo dispuesto en este real decreto, les corresponda percibir la cuantía variable mínima.
Rj= Renta per cápita del becario (igual a cero si Rj es negativo).
Ri = Renta per cápita de cada uno de los becarios a que se refiere S.
Rmax = Renta per cápita máxima para ser beneficiario de la cuantía variable.
Para el cálculo de la nota media del estudiante (N) se aplicarán las siguientes reglas:
1.º A las calificaciones de los becarios de primer curso de Grado procedentes de las pruebas de acceso a la Universidad se les aplicará un coeficiente corrector igual al cociente entre la calificación media obtenida en los estudios universitarios por los becarios del área de conocimiento que corresponda y la calificación media obtenida en las pruebas de acceso a la Universidad, excluyendo la nota de la fase específica por todos los beneficiarios que van cursar primer curso en dicha área de conocimiento.
2.º A las calificaciones de los becarios de primer curso de Grado procedentes de Ciclos Formativos de Grado Superior se les aplicará un coeficiente corrector igual al cociente entre la calificación media obtenida en los estudios universitarios por los becarios del área de conocimiento que corresponda y la media de las calificaciones obtenidas por todos los becarios de primer curso procedentes de Ciclos Formativos de Grado Superior.
3.º A las calificaciones de los becarios de primer curso de máster se les aplicará un coeficiente corrector de 1,17 cuando sus calificaciones procedan de titulaciones del área de Arquitectura e Ingeniería.»
Cuatro. El artículo 12 queda redactado en los siguientes términos:
«Artículo 12. Modalidades de becas para programas de cualificación profesional inicial y cursos de preparación para las pruebas de acceso a la Formación Profesional y a la Universidad.
Quienes realicen los cursos de preparación para las pruebas de acceso a la Formación Profesional y a la Universidad impartidos en centros públicos y los Programas de Cualificación Profesional Inicial podrán ser beneficiarios de la beca básica y de la cuantía variable mínima.»
Cinco. El tercer párrafo del apartado 1 del artículo 18 queda redactado en los siguientes términos:
«Quienes cursen enseñanzas no presenciales o los estudiantes que utilicen la oferta específica para personas adultas u oferta de matrícula parcial podrán también obtener beca o ayuda matriculándose de al menos 4 asignaturas o de un número de módulos cuya suma horaria sea igual o superior a 500 horas, que deberán aprobar en su totalidad para obtenerla en el siguiente curso. Los becarios que hagan uso de alguna de estas posibilidades podrán ser beneficiarios de la beca básica y de la cuantía variable mínima.»
Seis. El apartado 2 del artículo 18 queda redactado en los siguientes términos:
«2. Carga lectiva superada. Los estudiantes de primer curso de Bachillerato deberán acreditar no estar repitiendo curso y haber obtenido una nota media de 5,50 puntos en el cuarto curso de Educación Secundaria Obligatoria o prueba de acceso, en su caso.
Los estudiantes de primer curso del resto de enseñanzas a que se refiere este artículo deberán acreditar no estar repitiendo curso total ni parcialmente.
Los estudiantes de segundos y posteriores cursos organizados por asignaturas deberán acreditar haber superado todas las asignaturas del curso anterior, con excepción de una.
Los estudiantes de segundos y posteriores cursos organizados por módulos deberán acreditar haber superado en el curso anterior al menos un número de módulos que supongan el 85 % de las horas totales del curso en que hubieran estado matriculados.
No se concederán becas o ayudas a quienes estén repitiendo curso total o parcialmente.
Se entenderá que cumplen el requisito académico para ser becarios quienes hayan repetido curso cuando tengan superadas la totalidad de las asignaturas de los cursos anteriores a aquél para el que solicita la beca o ayuda.
Sólo podrá obtenerse beca o ayuda durante el número de años que dure el plan de estudios. No obstante, quienes cursen enseñanzas no presenciales o utilicen ofertas de matrícula parcial o específica para personas adultas podrán obtener becas y ayudas durante un año más.»
Siete. El tercer párrafo del apartado 1 del artículo 19 queda redactado en los siguientes términos:
«Quienes cursen enseñanzas no presenciales o los estudiantes que utilicen la oferta específica para personas adultas u oferta de matrícula parcial, podrán también obtener becas y ayudas matriculándose al menos de un número de módulos cuya suma horaria sea igual o superior a 500 horas, que deberán aprobar en su totalidad para obtenerla en el siguiente curso. Los becarios que hagan uso de alguna de estas posibilidades podrán ser beneficiarios de la beca básica y de la cuantía variable mínima.»
Ocho. El apartado 2 del artículo 19 queda redactado en los siguientes términos:
«2. Carga lectiva superada. Para obtener becas y ayudas, los solicitantes de primer curso de estas enseñanzas deberán acreditar haber obtenido 5,50 puntos en segundo curso de Bachillerato, prueba o curso de acceso respectivamente.
Los estudiantes de segundos y posteriores cursos organizados por asignaturas deberán acreditar haber superado todas las asignaturas del curso anterior, con excepción de una.
Los estudiantes de segundos y posteriores cursos organizados por módulos deberán acreditar haber superado en el curso anterior al menos un número de módulos que supongan el 85 % de las horas totales del curso en que hubieran estado matriculados.
No se concederán becas o ayudas a quienes estén repitiendo curso.
Se entenderá que cumplen el requisito académico para ser becarios quienes hayan repetido curso cuando tengan superadas la totalidad de las asignaturas de los cursos anteriores a aquél para el que solicita la beca o ayuda.
Sólo podrán obtenerse becas y ayudas durante el número de años que dure el plan de estudios. No obstante, quienes cursen enseñanzas no presenciales o utilicen ofertas de matrícula parcial o específica para personas adultas podrán obtener la beca durante un año más.»
Nueve. El apartado 1 del artículo 20 queda redactado en los siguientes términos:
«1. Matriculación. Para obtener becas o ayudas en estas enseñanzas los alumnos deberán matricularse de curso completo. Para estos estudios podrá concederse la beca básica y la cuantía variable mínima.»
Diez. El apartado 2 del artículo 22 queda redactado en los siguientes términos:
«2. No obstante, podrán obtener también becas y ayudas los alumnos que se matriculen de entre 30 y 59 créditos en un curso académico. En este caso serán de aplicación las siguientes reglas:
a) Quienes opten por la matrícula parcial y no se matriculen de todos aquellos créditos de los que les fuera posible podrán obtener únicamente la cuantía variable mínima y la beca de matrícula. Para obtener la beca o ayuda en el siguiente curso deberán aprobar la totalidad de los créditos en que hubieran estado matriculados.
b) Quienes cursen estudios de Grado en modalidad distinta a la presencial podrán obtener únicamente la cuantía variable mínima y la beca de matrícula. Para obtener la beca o ayuda en el siguiente curso deberán aprobar la totalidad de los créditos en que hubieran estado matriculados.
c) En aquellos casos en los que, en virtud de la normativa propia de la Universidad, resulte limitado el número de créditos en que pueda quedar matriculado el alumno, éste podrá obtener todas las cuantías que le correspondan si se matricula en todos aquellos créditos en los que le sea posible. Si dichos créditos se cursan en un cuatrimestre/semestre, la cuantía de la beca o ayuda que le corresponderá será la beca de matrícula, la cuantía variable mínima y el cincuenta por ciento de las demás cuantías que le hubiesen correspondido. En el supuesto de que el alumno se matricule también en el segundo cuatrimestre/semestre correspondiente al curso académico, se completará la cuantía de la beca hasta el total que le hubiese correspondido.»
Once. El artículo 23 queda redactado en los siguientes términos:
«1. Para obtener, en las condiciones previstas en este real decreto, las cuantías a que se refieren los párrafos a), b) y c) del apartado 1, y el apartado 2 del artículo 9, quienes se matriculen por primera vez de estudios oficiales de Grado deberán acreditar una nota de acceso a la Universidad de 6,50 puntos, con exclusión de la calificación obtenida en la fase específica, en el caso de que accedan a través de la prueba de acceso a las enseñanzas universitarias oficiales de Grado para quienes se encuentren en posesión del título de Bachiller o equivalente, o una nota de 6,50 puntos en la prueba o en la enseñanza que les permita el acceso a la Universidad en otro caso.
2. Para obtener, en las condiciones previstas en este real decreto, la beca de matrícula como único componente, la puntuación a que se refiere el párrafo anterior será de 5,50 puntos.
3. Para obtener, en las condiciones previstas en este real decreto, las cuantías a que se refieren los párrafos a), b) y c) del apartado 1, y el apartado 2 del artículo 9, los solicitantes de segundos y posteriores cursos de enseñanzas universitarias deberán haber superado en los últimos estudios cursados los siguientes porcentajes de los créditos matriculados:
Alternativamente, los solicitantes de segundos y posteriores cursos que no superen el porcentaje de créditos establecido en el párrafo anterior podrán también obtener las cuantías mencionadas en el párrafo anterior si acreditan haber superado en los últimos estudios cursados los siguientes porcentajes de créditos y haber alcanzado las siguientes notas medias de las asignaturas superadas:
4. Para obtener, en las condiciones previstas en este real decreto, la beca de matrícula como único componente, los solicitantes de segundos y posteriores cursos deberán acreditar haber superado en los últimos estudios cursados los siguientes porcentajes de los créditos matriculados:
5. En todo caso, el número mínimo de créditos en que debió estar matriculado el solicitante en el curso anterior a aquel para el que solicita la beca, será el que, para cada caso, se indica en el artículo anterior.
6. En el caso de haberse matriculado en un número de créditos superior al mínimo, todos ellos, incluso los de libre elección, serán tenidos en cuenta para la valoración de los requisitos académicos establecidos en el presente real decreto.»
Doce. El artículo 25 queda redactado en los siguientes términos:
«Artículo 25. Supuestos de aprovechamiento académico excepcional.
Se entenderá que cumplen los requisitos académicos los alumnos que tengan un excepcional aprovechamiento académico.
Para determinar si existe excepcional aprovechamiento del alumno se calculará el incremento porcentual de créditos matriculados sobre el número mínimo de los mismos a cuya matriculación obliga el artículo 22.
El porcentaje de créditos a superar establecido en el artículo 23 para obtener beca o ayuda se determinará en estos casos mediante la siguiente ecuación matemática:
85 – (Y/10) o bien 65 – (Y/10)
Para enseñanzas técnicas, dependiendo de que el solicitante se acoja a la primera o a la segunda de las opciones señaladas en el apartado 3 del artículo 23.
100 – (Y/10) o bien 80 – (Y/10)
Para las enseñanzas universitarias adscritas a las ramas de conocimiento de Ciencias y de Ciencias de la Salud dependiendo de que el solicitante se acoja a la primera o a la segunda de las opciones señaladas en el apartado 3 del artículo 23.
100 – (Y/10) o bien 90 – (Y/10)
Para las enseñanzas universitarias adscritas a las ramas de conocimiento de Artes y Humanidades y de Ciencias Sociales y Jurídicas dependiendo de que el solicitante se acoja a la primera o a la segunda de las opciones señaladas en el apartado 3 del artículo 23.
Y es el incremento porcentual de créditos matriculados sobre el número mínimo de los mismos a cuya matriculación obliga el artículo 22.»
Trece. El artículo 26 queda redactado en los siguientes términos:
«Para obtener beca en los estudios conducentes a la obtención de un título oficial de Máster universitario será preciso que el solicitante sea admitido y se matricule, en el curso para el que solicita la beca o ayuda, de un mínimo de 60 créditos.
No obstante, podrán obtener también beca o ayuda los alumnos que se matriculen de entre 30 y 59 créditos en el curso académico, que deberán aprobar en su totalidad para obtenerla en el siguiente curso. En este caso serán de aplicación las siguientes reglas:
a) Quienes opten por la matrícula parcial y no se matriculen de todos aquellos créditos de los que les fuera posible podrán obtener únicamente la cuantía variable mínima y la beca de matrícula.
b) Quienes cursen estudios de Máster en modalidad distinta a la presencial podrán obtener únicamente la cuantía variable mínima y la beca de matrícula.
c) En aquellos casos en los que, en virtud de la normativa propia de la Universidad, resulte limitado el número de créditos en que pueda quedar matriculado el alumno, éste podrá obtener todas las cuantías que le correspondan si se matricula en todos aquellos créditos en los que le sea posible. Si dichos créditos se cursan en un cuatrimestre/semestre, la cuantía de la beca que les corresponderá será la beca de matrícula, la cuantía variable mínima y el cincuenta por ciento de las demás cuantías que le hubiesen correspondido. En el supuesto de que el alumno se matricule también en el segundo cuatrimestre/semestre correspondiente al curso académico, se completará la cuantía de la beca hasta el total que le hubiese correspondido.
d) El número mínimo de créditos fijado en los párrafos anteriores en que el alumno debe quedar matriculado en el curso para el que solicita la beca o ayuda no será exigible, por una sola vez, en el caso de los alumnos a los que, para finalizar sus estudios, les reste un número de créditos inferior a dicho número mínimo, siempre que no haya disfrutado de la condición de becario durante más años de los previstos en el artículo 29.
e) Las asignaturas o créditos reconocidos, convalidados y adaptados no se tendrán en cuenta a efectos del cumplimiento de los requisitos académicos establecidos en este real decreto.
En el caso de matricularse en un número de créditos superior al mínimo exigido todos ellos serán tenidos en cuenta para la valoración del rendimiento académico del solicitante.»
Catorce. El apartado 1 del artículo 27 queda redactado como sigue:
«1. Los estudiantes de primer curso de Másteres que habiliten o que sean condición necesaria para el ejercicio de una profesión regulada deberán acreditar una nota media de 6,50 puntos en los estudios previos que les dan acceso al Máster. En los restantes estudios de Máster dicha nota media será de 7,00 puntos. A estos efectos, las notas medias procedentes de estudios de enseñanzas técnicas se multiplicarán por el coeficiente 1,17. Los estudiantes de segundo curso de Másteres que habiliten o que sean condición necesaria para el ejercicio de una profesión regulada deberán acreditar una nota media de 6,50 puntos en primer curso. En los restantes estudios de Máster dicha nota media será de 7,00 puntos. En ambos casos se requerirá haber superado la totalidad de los créditos del primer curso.»
Quince. El artículo 30 queda redactado en los siguientes términos:
«En los estudios superiores no integrados en la universidad organizados por créditos, los requisitos académicos exigibles para la obtención de beca o ayuda serán los establecidos en este real decreto para los estudiantes universitarios del área de Artes y Humanidades.
En los citados estudios superiores no integrados en la universidad y organizados por cursos académicos se requerirá, a efectos de la obtención de beca o ayuda, que el solicitante se matricule por cursos completos. Este requisito no será exigible, por una sola vez, cuando al solicitante le reste un número menor de créditos o asignaturas para finalizar sus estudios, en cuyo caso deberán matricularse de todos ellos.»
Dieciséis. Quedan sin contenido los artículos 31 y 32.
Diecisiete. El apartado 2 del artículo 33 queda redactado en los siguientes términos:
«2. Para garantizar la eficacia en el cumplimiento de los objetivos a que se dirigen las becas y ayudas al estudio de carácter general, la beca de matrícula, la beca básica, las cuantías ligadas a la residencia y a la renta, la cuantía variable mínima y las cuantías adicionales se concederán a medida que se formulen las correspondientes propuestas parciales de concesión. La cuantía variable se concederá como se indica en el artículo 9.2 de este real decreto.»
Dieciocho. Se añade un párrafo d) al apartado 2 del artículo 40 y se modifica el párrafo c) que quedan redactados en los siguientes términos:
«c) No más tarde del mes de marzo de cada año, las Comunidades Autónomas remitirán al Ministerio de Educación, Cultura y Deporte el estado comprensivo de las obligaciones reconocidas y de los pagos realizados con cargo a los libramientos que hasta esa fecha haya efectuado el Departamento con cargo a ambos ejercicios, en los términos recogidos en la Ley 47/2003, de 26 de noviembre, General Presupuestaria, diferenciando las becas y ayudas que son objeto de financiación estatal de aquellas otras que se concedan en régimen de cofinanciación. Recibida esta documentación y, en todo caso, antes del mes de junio se liquidará a cada Comunidad Autónoma el importe hasta completar la financiación que corresponda al Estado de las becas y ayudas concedidas, a excepción del importe reservado para compensar las becas de matrícula, que se abonará una vez se reciba en el Ministerio de Educación, Cultura y Deporte la información de las Universidades sobre precios públicos devengados por los becarios a los que corresponda la beca de matrícula, sin perjuicio de la posibilidad de realizar pagos a cuenta a las Universidades.
Cuando una vez liquidado el importe a las Comunidades Autónomas indicado en el párrafo anterior sea necesario completar la financiación por motivo de reclamaciones o recursos estimados interpuestos por los solicitantes de becas y ayudas al estudio o por cualquier otro motivo, se completará la financiación con el importe necesario para cubrir la concesión de las becas y ayudas al estudio a los alumnos por el importe que les hubiera correspondido de haberles concedido dichas becas y ayudas en el momento de la concesión inicial, lo que en ningún caso modificará las cuantías de las becas y ayudas ya concedidas al resto de alumnos.
El Ministerio de Educación, Cultura y Deporte podrá anticipar a las Comunidades Autónomas los importes indicados en los párrafos b) y c) anteriores en el primer trimestre del curso escolar.
d) En el caso de que las disponibilidades presupuestarias permitan la concesión de la cuantía variable a que se refiere el artículo 9, el Ministerio de Educación, Cultura y Deporte procederá a la distribución de dicha cuantía variable utilizando la fórmula prevista en el citado artículo, así como al libramiento de las cantidades resultantes a las Comunidades Autónomas para su abono a los beneficiarios.»
Diecinueve. Se suprime el apartado 3 del artículo 40.
Veinte. El apartado 2 de la disposición transitoria primera queda redactado en los siguientes términos:
«2. No obstante, podrán obtener también beca o ayuda los alumnos que se matriculen al menos del cincuenta por ciento de los créditos establecidos en el apartado anterior. En este caso serán de aplicación las siguientes reglas:
a) Quienes opten por la matrícula parcial y no se matriculen de todos aquellos créditos de los que les fuera posible podrán obtener únicamente la cuantía variable mínima y la beca de matrícula. Para obtener la beca o ayuda en el siguiente curso deberán aprobar la totalidad de los créditos en que hubieran estado matriculados.
b) Quienes cursen estudios en modalidad distinta a la presencial podrán obtener la cuantía variable mínima y la beca de matrícula. Para obtener la beca o ayuda en el siguiente curso deberán aprobar la totalidad de los créditos en que hubieran estado matriculados.
c) En aquellos casos en los que, en virtud de la normativa propia de la Universidad, resulte limitado el número de créditos en que pueda quedar matriculado el alumno, éste podrá obtener todas las cuantías que le correspondan si se matricula en todos aquellos en los que le sea posible. Si dichos créditos se cursan en un cuatrimestre/semestre, la cuantía de la beca que les corresponderá será la beca de matrícula, la cuantía variable mínima y el cincuenta por ciento de las cantidades que le hubiesen correspondido. En el supuesto de que el alumno se matricule también en el segundo cuatrimestre/semestre correspondiente al curso académico, se completará la cuantía de la beca hasta el total que le hubiese correspondido.
d) El número mínimo de créditos fijado en los párrafos anteriores en que el alumno debe quedar matriculado en el curso para el que solicita la beca o ayuda no será exigible, por una sola vez, en el caso de los alumnos a los que, para finalizar sus estudios, les reste un número de créditos inferior a dicho número mínimo, siempre que no haya disfrutado de la condición de becario durante más años de los previstos en el apartado 13 siguiente.»
Veintiuno. El apartado 8 de la disposición transitoria primera queda redactado en los siguientes términos:
«8. Para obtener, en las condiciones previstas en este real decreto, las cuantías a que se refieren los párrafos a), b) y c) del apartado 1, y el apartado 2 del artículo 9, se requerirá que el solicitante haya superado en el curso anterior a aquel para el que solicita la beca o ayuda el 100 % de los créditos matriculados si se trata de estudios de las Áreas de Artes y Humanidades, de Ciencias Sociales y Jurídicas, Ciencias y Ciencias de la Salud, y el 85 % en el caso de enseñanzas de Ingeniería y Arquitectura.
Alternativamente, los solicitantes de segundos y posteriores cursos que no superen el porcentaje de créditos establecido en el párrafo anterior podrán también obtener las cuantías mencionadas en el párrafo anterior si acreditan haber superado en los últimos estudios cursados los siguientes porcentajes de créditos y haber alcanzado las siguientes notas medias de las asignaturas superadas:
Para obtener, en las condiciones previstas en este real decreto, la beca de matrícula como único componente, los solicitantes de segundos y posteriores cursos deberán acreditar haber superado en los últimos estudios cursados los siguientes porcentajes de los créditos matriculados:
Veintidós. El apartado 12 de la disposición transitoria primera queda redactado en los siguientes términos:
«Se entenderá que cumplen los requisitos académicos los alumnos que obtengan un excepcional aprovechamiento académico. Para determinar si existe excepcional aprovechamiento del alumno se calculará el incremento porcentual de créditos matriculados sobre el número mínimo de los mismos a cuya matriculación obliga el apartado 1 anterior. El porcentaje de créditos a superar en estos casos para obtener beca se determinará mediante las siguientes fórmulas matemáticas:
85 – (Y/10) o bien 65 – (Y/10)
Para enseñanzas técnicas, dependiendo de que el solicitante se acoja a la primera o a la segunda de las opciones señaladas en el apartado 8 anterior.
100 – (Y/10) o bien 80 – (Y/10)
Para las enseñanzas universitarias adscritas a las ramas de conocimiento de Ciencias y de Ciencias de la Salud dependiendo de que el solicitante se acoja a la primera o a la segunda de las opciones señaladas en el apartado 8 anterior.
100 – (Y/10) o bien 90 – (Y/10)
Para las enseñanzas universitarias adscritas a las ramas de conocimiento de Artes y Humanidades y de Ciencias Sociales y Jurídicas, dependiendo de que el solicitante se acoja a la primera o a la segunda de las opciones señaladas en el apartado 8 anterior.
Y es el incremento porcentual de créditos matriculados sobre el número mínimo de los mismos a cuya matriculación obliga el apartado 1 anterior.»
Disposición final tercera. Publicación de relaciones de beneficiarios en el «Boletín Oficial del Estado
En aquellos casos en los que las convocatorias de becas, ayudas y premios al estudio que publique el Ministerio de Educación, Cultura y Deporte así lo establezcan, se publicarán en el «Boletín Oficial del Estado» las relaciones provisionales y/o definitivas de beneficiarios o la referencia a los medios en los que aquéllas se hagan públicas.
Disposición final cuarta. Desarrollo normativo.
Corresponde al Ministro de Educación, Cultura y Deporte, en el ámbito de sus competencias, dictar las normas que sean precisas para la aplicación y desarrollo de lo establecido en este real decreto.
Disposición final quinta. Entrada en vigor.
El presente real decreto entrará en vigor el día siguiente al de su publicación en el «Boletín Oficial del Estado».
Dado en Madrid, el 2 de agosto de 2013.
JUAN CARLOS R.
El Ministro de Educación, Cultura y Deporte,
JOSÉ IGNACIO WERT ORTEGA
Los textos consolidados no tienen validez oficial y no sustituyen a los publicados en los diarios oficiales, que son los únicos instrumentos que dan fe de su autenticidad