( Se incluye modificaciones por la Orden IET/2812/2012, de 27 de diciembre, por la que se establecen los peajes y cánones asociados al acceso de terceros a las instalaciones gasistas y la retribución de las actividades reguladas. BOE núm. 314, de 31 de diciembre de 2012)
(Se incluyen modificaciones por la Orden ITC/3354/2010, de 28 de diciembre, por la que se establecen los peajes y cánones asociados al acceso de terceros a las instalaciones gasistas y la retribución de las actividades reguladas. BOE núm. 316, de 29 de diciembre de 2010)
(Se incluyen modificaciones por la Orden ITC/1506/2010, de 8 de junio, por la que se modifica la Orden ITC/1660/2009, de 22 de junio, por la que se establece la metodología de cálculo de la tarifa de último recurso de gas natural. BOE núm. 142, de 11 de junio de 2010)
BOE núm. 151, Martes 23 de junio de 2009
MINISTERIO DE INDUSTRIA, TURISMO Y COMERCIO
Orden ITC/1660/2009, de 22 de junio, por la que se establece la metodología de cálculo de la tarifa de último recurso de gas natural.
La Ley 12/2007, de 2 de julio, por la que se modifica la Ley 34/1998, de 7 de octubre, del sector de hidrocarburos, con el fin de adaptarla a lo dispuesto en la Directiva 2003/55/CE del Parlamento Europeo y del Consejo, de 26 de junio de 2003, sobre normas comunes para el mercado interior del gas natural, modificó el artículo 93 de la referida Ley del sector de hidrocarburos, definiendo la tarifa de último recurso.
El Acuerdo del Consejo de Ministros de 3 de abril de 2009, mediante el que se modifica el calendario previsto inicialmente en la disposición transitoria quinta de la Ley 12/2007, de 2 de julio, por la que se modifica la Ley 34/1998, de 7 de octubre, del Sector de Hidrocarburos, con el fin de adaptarla a lo dispuesto en la Directiva 2003/55/CE del Parlamento Europeo y del Consejo, de 26 de junio de 2003, sobre normas comunes para el mercado interior del gas natural, establece que a partir del 1 de julio de 2009 tendrán derecho al suministro de último recurso los consumidores conectados a presiones inferiores a 4 bar, con consumos anuales no superiores a 50.000 kWh/año.
Por su parte, el Real Decreto-Ley 6/2009, de 30 de abril, por el que se adoptan medidas en el sector energético y se aprueba el bono social, designa, en su disposición adicional segunda a las empresas comercializadoras que debían asumir la obligación de suministro de último recurso en el territorio peninsular y Baleares.
En desarrollo de la Ley del sector de hidrocarburos, el Real Decreto 949/2001, de 3 de agosto, por el que se regula el acceso de terceros a las instalaciones gasistas y se establece un sistema económico integrado del sector de gas natural, establece en su artículo 25.1 que el Ministro, mediante orden y previo Acuerdo de la Comisión Delegada del Gobierno para Asuntos Económicos, dictará las disposiciones necesarias para el establecimiento de las tarifas de venta de gas natural. Asimismo, este artículo dispone que en dichas órdenes se establecerán los valores concretos de las tarifas y precios o un sistema de determinación y actualización de los mismos.
En cumplimiento de lo anterior, el Ministro de Industria Turismo y Comercio dictó la Orden ITC/2857/2008, de 10 de octubre, por la que se establece la tarifa del suministro de último recurso de gas natural, donde se determina la forma de cálculo de dicha tarifa a partir del 12 de octubre de 2008, la cual debía adaptarse conforme se desarrollara el procedimiento de subasta para la determinación del coste del gas natural considerado. Asimismo, dispone en sus artículos 4 y 5 las condiciones generales aplicables al suministro y las unidades de facturación y medida.
La presente orden establece la forma de cálculo de la tarifa de último recurso, incorporando los resultados del referido procedimiento de subasta, junto con referencias internacionales indicativas del coste de aprovisionamiento de gas natural.
La Ley 34/1998, de 7 de octubre, dispone el régimen transitorio de los gases manufacturados en territorios insulares, de manera que hasta la finalización y puesta en marcha de las instalaciones que permitan el suministro de gas natural las empresas distribuidoras podrán efectuar el suministro de gases manufacturados. La presente orden determina las tarifas aplicables al suministro de gases manufacturados en territorios insulares hasta la llegada del gas natural, en aplicación de lo dispuesto en el artículo 25.1 del Real Decreto 949/2001, de 3 de agosto.
Se ha evacuado el trámite de audiencia a través del Consejo Consultivo de Hidrocarburos, cuyas observaciones y comentarios, de acuerdo con lo establecido en el 5.5 del Real Decreto 1339/1999, de 31 de julio, por el que se aprueba el Reglamento de la Comisión Nacional de Energía, se han tomado en consideración para la elaboración del correspondiente informe de dicha Comisión, elaborado de conformidad con la disposición adicional undécima, apartado tercero, 1, funciones segunda y cuarta de la Ley 34/1998, de 7 de octubre.
Mediante acuerdo de 18 de junio de 2009, la Comisión Delegada del Gobierno para Asuntos Económicos ha autorizado al Ministro de Industria, Turismo y Comercio a dictar la presente orden.
En su virtud, previo Acuerdo de la Comisión Delegada del Gobierno para Asuntos Económicos, adoptado en su reunión del día 18 de junio de 2009, dispongo:
Capítulo I Disposiciones Generales
Artículo 1. Objeto.
Constituye el objeto de esta orden la determinación de la metodología para el cálculo de la tarifa de último recurso.
Artículo 2. Ámbito de aplicación.
La presente orden será de aplicación al suministro de gas natural que realicen los comercializadores de último recurso a los consumidores que cumplan los requisitos establecidos en la disposición transitoria quinta de la Ley 12/2007, de 2 de julio, por la que se modifica la Ley 34/1998, de 7 de octubre, del sector de hidrocarburos, con el fin de adaptarla a lo dispuesto en la Directiva 2003/55/CE del Parlamento Europeo y del Consejo, de 26 de junio de 2003, sobre normas comunes para el mercado interior del gas natural.
Capítulo II Definición y estructura de las tarifas de último recurso
Artículo 3. Tarifas de último recurso.
Serán de aplicación las siguientes tarifas de último recurso en función de los consumos anuales:
a) TUR.1, aplicable a los consumidores con consumo anual igual o inferior a 5.000 kWh.
b) TUR.2, aplicable a los consumidores con consumo superior a 5.000 kWh e inferior o igual a 50.000 kwh.
Artículo 4. Estructura general de las tarifas de último recurso.
1. Las tarifas de último recurso se componen de un término de facturación fijo, expresado en €/mes, y un término de facturación variable por unidad de energía, expresado en cts/kWh.
2. Las tarifas de último recurso se determinarán sin incluir los impuestos, recargos y gravámenes sobre el consumo y suministro, ni tampoco los alquileres de equipos de medida, los derechos de acometida, derechos de alta, ni aquellos otros servicios cuya repercusión sobre el usuario esté autorizada por la normativa vigente.
Capítulo III Procedimiento de cálculo de las tarifas de último recurso
Artículo 5. Determinación de la tarifa de último recurso.
1. De acuerdo con lo establecido en el artículo 93.4 de la Ley 34/1998, de 7 de octubre, y el artículo 26.2 del Real Decreto 949/2001, de 3 de agosto, por el que se regula el acceso de terceros a las instalaciones gasistas y se establece un sistema económico integrado del gas natural, el sistema de cálculo de la tarifa de último recurso incluirá de forma aditiva el coste de la materia prima, los peajes de acceso en vigor, los costes de comercialización y los costes derivados de la seguridad de suministro.
2. El término fijo de la tarifa se determinará como la suma de los costes que corresponden al término fijo del término de conducción del peaje de transporte y distribución (Tfi), al término de reserva de capacidad (Tfe), al término fijo del peaje de regasificación (Tfr) y al coste fijo de comercialización.
3. El término variable de la tarifa se determinará como la suma de los costes que corresponden al término variable del término de conducción del peaje de transporte y distribución (Tvi), al término variable del peaje de regasificación (Tvr), al valor medio del peaje de descarga de buques, al coste medio del canon de almacenamiento subterráneo, al coste medio del canon de almacenamiento de GNL, al coste variable de comercialización, y al coste de la materia prima, que incluirá el coste asociado a las mermas y al riesgo de cantidad.
Según modificaciones presentadas por la Orden ITC/1506/2010, de 8 de junio, BOE núm. 142, de 11 de junio de 2010 :Se introduce un nuevo apartado 4 en el artículo 5 con la siguiente redacción:
«4. Para la determinación del coste de la materia prima se realizarán dos subastas anuales del producto Gas de Base y una subasta del producto Gas de Invierno.
La primera subasta se celebrará con anterioridad al 30 de junio e incluirá el suministro de las cantidades de Gas de Base para el período comprendido entre el 1 de julio y el 31 de diciembre y el suministro de las cantidades de Gas de Invierno para el período comprendido entre el 1 de julio y el 30 de junio del año siguiente.
La segunda subasta se celebrará con anterioridad al 31 de diciembre e incluirá el suministro de las cantidades de Gas de Base para el período comprendido entre el 1 de enero y el 30 de junio del año siguiente
Artículo 6. Metodología de cálculo de los peajes y cánones imputados.
1. El coste correspondiente al peaje de regasificación se determinará de acuerdo a las siguientes fórmulas: a) Término fijo del peaje de regasificación, expresado en €/mes:

b) Término variable del peaje de regasificación, expresado en cts/kWh:

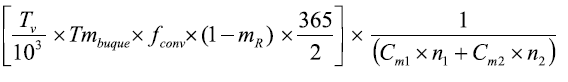
2. El coste medio de descarga de buques, expresado en cts/kWh:

3. El coste medio de almacenamiento:
a) Coste de almacenamiento subterráneo, expresado en cts/kWh:
Según modificaciones presentadas por la Orden ITC/1506/2010, de 8 de junio, por la que se modifica la Orden ITC/1660/2009, de 22 de junio. BOE núm. 142, de 11 de junio de 2010 queda redactado como sigue el artículo 6.3 a) y b):
a)

b) Coste medio de almacenamiento de GNL, expresado en cts/kWh:

4. El coste que corresponde al término de reserva de capacidad del peaje de transporte y distribución, expresado en €/mes, se calculará de acuerdo a la siguiente fórmula:
Artículo 7. Costes de comercialización.
1. El término fijo del coste de comercialización se establece en 1,42 €/mes, tanto para los clientes en la tarifa TUR.1 como en la TUR.2.
2. El coste de comercialización variable se establece en 0,083 cts/kWh, tanto para los consumos de la tarifa TUR.1 como para los de la tarifa TUR.2.
Según modificaciones por la Orden IET/2812/2012, de 27 de diciembre. BOE núm. 314, de 31 de diciembre de 2012 queda redactado como sigue:
Según modificaciones presentadas por la Orden ITC/3354/2010, de 28 de diciembre. BOE núm. 316, de 29 de diciembre de 2010 queda redactado como sigue:
Según modificaciones presentadas por la Orden ITC/1506/2010, de 8 de junio, por la que se modifica la Orden ITC/1660/2009, de 22 de junio, BOE núm. 142, de 11 de junio de 2010 queda redactado como sigue:
Artículo 8. Determinación del coste de la materia prima.
Se modifican las definiciones de los términos βSI y βSB incluidos en el artículo 8, que pasan a tener la siguiente redacción:
«βSI = (Qai/Qoi)*Ps
Siendo:
– Qai la cantidad de gas de invierno adjudicada en la subasta.
– Qoi la cantidad de gas de invierno ofertada en la subasta.
Ps porcentaje de gas de invierno que se subasta en relación a la demanda de gas de invierno. Este valor se fija en 0.5.
«βSB = (Qab/Qpb)*Ps
Siendo:
Qab la cantidad de gas de base adjudicada en la subasta.
Qpb la de cantidad de gas de base ofertada en la subasta.
Ps porcentaje de gas de base que se subasta en relación a la demanda de gas de base. Este valor se fija en 0.5
El coste de la materia prima Cn se calculará de acuerdo con la siguiente fórmula:
Artículo 9. Prima por riesgo de cantidad.
Según modificaciones presentadas por la Orden ITC/1506/2010, de 8 de junio, por la que se modifica la Orden ITC/1660/2009, de 22 de junio, BOE núm. 142, de 11 de junio de 2010 queda redactado como sigue:
La prima por riesgo de cantidad (PRQ) refleja el sobrecoste que para los comercializadores de último recurso supone la existencia de una correlación positiva entre el volumen real de gas natural que tienen obligación de suministrar y el precio de la energía en el mercado. Se define por la fórmula:

m: porcentaje de demanda a suministrar mediante un producto estacional, en relación con la demanda total. El valor de m será el mismo que el término α definido en el artículo 8
Según modificaciones por la Orden IET/2812/2012, de 27 de diciembre. BOE núm. 314, de 31 de diciembre de 2012 Se substituye el contenido del apartado 3 del artículo 10 quedando tal y como sigue:
Según modificaciones presentadas por la Orden ITC/1506/2010, de 8 de junio, por la que se modifica la Orden ITC/1660/2009, de 22 de junio, BOE núm. 142, de 11 de junio de 2010 queda redactado como sigue:
Artículo 10. Actualización de los términos de la tarifa.
1. Los términos fijos y variables de las tarifas se actualizarán en el momento en que se produzca alguna modificación en los términos fijos y variables de los peajes y cánones de acceso al sistema o en los coeficientes de mermas en vigor. Asimismo, el término variable se actualizará con carácter trimestral, desde el día 1 de los meses de enero, abril, julio y octubre de cada año, siempre que el coste de la materia prima Cn, de acuerdo al valor obtenido de la aplicación de la fórmula del artículo 8, experimente una variación al alza o a la baja superior al 2 por ciento.
2. Las revisiones se realizarán mediante resolución de la Dirección General de Política Energética y Minas. Las condiciones generales aplicables al suministro así como las unidades de facturación y medida son las establecidas en los artículos 4 y 5 de la Orden ITC/2857/2008, de 10 de octubre. Disposición adicional única. Tarifas de gases manufacturados por canalización en territorios insulares.
1. Las tarifas a aplicar por las empresas distribuidoras de gases manufacturados por canalización en territorios insulares son las definidas en el artículo 27 del Real Decreto 949/2001, de 3 de agosto. Para consumos inferiores o iguales a 5.000 kWh/año la tarifa T.1 a aplicar será igual a la TUR.1, mientras que para consumos superiores a 5.000 kWh/año e inferiores o iguales a 50.000 kWh/año la tarifa T.2 a aplicar será idéntica a la TUR.2.
2. Para consumos superiores a 50.000 kWh/año e inferiores o iguales a 100.000 kWh/año se aplicará la tarifa T.3, y para consumos superiores a 100.000 kWh/año se aplicará la tarifa T.4. Dichas tarifas se determinarán por parte de la Dirección General de Política Energética y Minas, de acuerdo con la metodología establecida en la presente orden con las siguientes particularidades: Como término de conducción del peaje de transporte y distribución se considerarán los valores correspondientes a los escalones 3.3 y 3.4. Cmi: 57.935 y 501.000 kWh/cliente para las tarifas T.3 y T.4 respectivamente. ni: 21.400 y 41.101 para las tarifas T.3 y T.4 respectivamente, aplicable para calcular el término fijo del peaje de regasificación y el término de reserva de capacidad del peaje de transporte y distribución. EMAX y GNd tendrán los valores de 858.976 kWh/día y 8.327.795 kWh respectivamente para la tarifa 3 mientras que en el caso de la tarifa T.4 los valores a aplicar serán de 14.266.470 kWh/día y 15.994.425 kWh.
Los siguientes parámetros definidos en el apartado 5 del artículo 6º: Tmbuque, Cmi, fc, %GNL, fconv, EMAX, GNd, número de consumidores TUR.1 y TUR.2 (ni) se actualizarán con carácter anual, con anterioridad al 1 de diciembre, mediante resolución de la Dirección General de Política Energética y Minas
Según modificaciones por la Orden IET/2812/2012, de 27 de diciembre. BOE núm. 314, de 31 de diciembre de 2012 se añade un nuevo artículo quedando redactado como sigue:
Artículo 11. Remisión de información.
Las empresas comercializadoras de último recurso, antes del día 15 de mayo de cada año, remitirán a la Dirección General de Política Energética y Minas, a la Comisión Nacional de Energía y a la entidad responsable de la organización de las subastas para la adquisición de gas natural para la fijación de la tarifa de último recurso, la demanda mensual de los consumidores acogidos a las tarifas TUR.1 y TUR.2 durante el periodo comprendido entre el 1 de julio del año anterior y el último mes disponible del año en curso y las previsiones mensuales hasta el 30 de junio del año siguiente
Disposición transitoria única.
Modificación del calendario de aplicación del suministro de último recurso. Desde el 1 de julio, en caso de que un consumidor con consumo anual superior a 50.000 kWh/año e inferior a 3 GWh/año no haya negociado con un comercializador un precio de suministro, se le aplicará el precio que se indica en la siguiente tabla: Consumo superior a 50.000 kWh/año e inferior o igual a100.000 kWh/año:

Consumo superior a 100.000 kWh/año e inferior a 3 GWh/año:

Disposición derogatoria única.
Derogación normativa. Quedan derogadas cuantas disposiciones de igual o inferior rango se opongan a lo establecido en esta orden.
Disposición final única. Entrada en vigor. La presente orden entrará en vigor el día siguiente al de su publicación en el Boletín Oficial del Estado.
Madrid, 22 de junio de 2009.–El Ministro de Industria, Turismo y Comercio, Miguel Sebastián Gascón.